平均增长速度
平均增长速度(average growth rate)
什么是平均增长速度
平均增长速度是反映某种现象在一个较长时期中逐期递增的平均速度;平均发展速度是反映现象逐期发展的平均速度。
我国计算平均增长速度有两种方法:
一种是习惯上经常使用的“水平法”,又称几何平均法,是以间隔期最后一年的水平同基期水平对比来计算平均每年增长(或下降)速度;
另一种是“累计法”,又称代数平均法或方程法,是以间隔期内各年水平的总和同基期水平对比来计算平均每年增长(或下降)速度。在一般正常情况下,两种方法计算的平均每年增长速度比较接近;但在经济发展不平衡、出现大起大落时,两种方法计算的结果差别较大。
平均增长速度的计算公式
平均增长速度的计算公式为:
平均增长速度=平均发展速度-1
计算某年到某年的平均增长速度的年份,均不包括基期年在内。如1991年至1996年平均每年增长速度,是以1990年为基期,1996年为报告期,年份从1991年算起,共6年,表示为1991-1996年平均每年增长多少。
平均增长速度的计算及举例分析
1、已知发展速度vi
平均增长速度
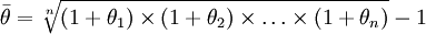
2、已知增长速度θi
(1)已知利率、经济增长率θi,求平均利率和平均经济增长率
(2)已知废品率、淘汰率θi
例:有32支球队参加比赛,经5轮决出冠军,求每一轮的平均淘汰率。
解:n=5 a0 = 32 an = 1
平均淘汰率=1-平均晋级率
=50%
免责声明:本内容来源于第三方作者授权、网友推荐或互联网整理,旨在为广大用户提供学习与参考之用。所有文本和图片版权归原创网站或作者本人所有,其观点并不代表本站立场。如有任何版权侵犯或转载不当之情况,请您通过400-62-96871或关注我们的公众号与我们取得联系,我们将尽快进行相关处理与修改。感谢您的理解与支持!







请先 登录后发表评论 ~