全及指标
什么是全及指标
根据全及总体各个单位的标志值或标志特征计算的、反映总体某种属性的综合指标,称为“全及指标”。由于全及总体是唯一确定的,所以全及指标也是唯一确定的,全及指标也称为“母体参数”或“总体参数”。
常用的全及指标有:全及总体平均数、全及总体成数、全及总体方差和均方差。
全及指标的计算公式
不同性质的总体,需要计算不同的全及指标。
1、变量总体
由于各单位的标志可以用数量来表示,所以也就可以计算总体平均数,用
表示。
设总体变量X有N个取值:X1、X2、…、XN。则
全及指标具有总体方差σ2(或总体标准差σ)它们都是测度变量总体标志值分散程度的指标。
2、属性总体
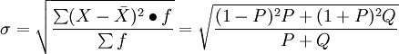
由于某些单位的标志不能用数量表示,而只能用一定的术语加以描述,这时就应该计算比重结构指标,称为总体成数,用P表示,它可以说明总体中具有某种标志的单位数在所规定的某变量值以上或以下的比重。
设总体N个单位中,1表示具有某种属性的标志值,N1是具有某种属性的单位数,0表示不具有某种属性的标志值,N0是不具有某种属性的单位数。N1 + N2 = N,P为总体中具有某种属性的单位数所占的比重,Q为不具有某种属性的单位数所占的比重,则总体成数为:
P = N1 / N Q = N0 / N = (N − N1) / N = 1 − P
成数的标准差为:
免责声明:本内容来源于第三方作者授权、网友推荐或互联网整理,旨在为广大用户提供学习与参考之用。所有文本和图片版权归原创网站或作者本人所有,其观点并不代表本站立场。如有任何版权侵犯或转载不当之情况,请您通过400-62-96871或关注我们的公众号与我们取得联系,我们将尽快进行相关处理与修改。感谢您的理解与支持!







请先 登录后发表评论 ~