伯努利分布
什么是伯努利分布
伯努利分布是指一个分布离散型概率分布,为纪念瑞士科学家雅各布布•伯努利而命名。若伯努利试验成功,则伯努利随机变量取值为1。若伯努利试验失败,则伯努利随机变量取值为0。
伯努利分布的内容
伯努利试验成功概率为
,失败概率为q = 1 − p。则其概率质量函数为:
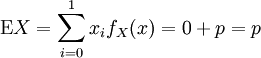
其期望值为:
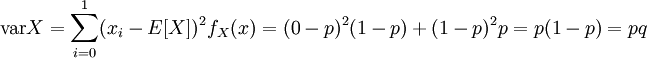
其方差为:
免责声明:本内容来源于第三方作者授权、网友推荐或互联网整理,旨在为广大用户提供学习与参考之用。所有文本和图片版权归原创网站或作者本人所有,其观点并不代表本站立场。如有任何版权侵犯或转载不当之情况,请您通过400-62-96871或关注我们的公众号与我们取得联系,我们将尽快进行相关处理与修改。感谢您的理解与支持!







请先 登录后发表评论 ~