抽样误差
抽样误差(Sampling error)
什么是抽样误差
在抽样检查中,由于用样本指标代替全及指标所产生的误差可分为两种:一种是由于主观因素破坏了随机原则而产生的误差,称为系统性误差;另一种是由于抽样的随机性引起的偶然的代表性误差。抽样误差仅仅是指后一种由于抽样的随机性而带来的偶然的代表性误差,而不是指前一种因不遵循随机性原则而造成的系统性误差。
总的说来,抽样误差是指样本指标与全及总体指标之间的绝对误差。在进行抽样检查时不可避免会产生抽样误差,因为从总体中随机抽取的样本,其结构不可能和总体完全一致。例如样本平均数与总体平均数之差
,样本成数与总体成数之差 | p − P | 。虽然抽样误差不可避免,但可以运用大数定律的数学公式加以精确地计算,确定它具体的数量界限,并可通过抽样设计加以控制。
抽样误差也是衡量抽样检查准确程度的指标。抽样误差越大,表明抽样总体对全及总体的代表性越小,抽样检查的结果越不可靠。反之,抽样误差越小,说明抽样总体对全及总体的代表性越大,抽样检查的结果越准确可靠。在统计学中把抽样误差分为抽样平均误差和抽样极限误差,下面就这两种误差分别进行阐释。为使推理过程简化,这里不对属性总体进行分析,而仅对变量总体进行分析计算。
抽样误差的计算
1、表现形式:平均数指标抽样误差;成数(比重)抽样误差。
2、平均数指标的抽样误差
1)重复抽样的条件下:
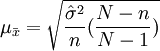
2)不重复抽样的条件下:
3、成数指标的抽样误差
1)重复抽样的条件下:
2)不重复抽样的条件下:
影响抽样误差的因素
1.总体各单位标志值的差异程度。差异程度愈大则抽样误差愈大,差异程度愈小则则抽样误差愈小。
2.样本单位数。在其他条件相同的情况下,样本的单位数愈多,则抽样误差愈小。
3.抽样方法。抽样方法不同,抽样误差也不同。一般情况下重复抽样误差比不重复抽样误差要小一些。
4.抽样调查的组织形式。不同的抽样组织形式就有不同的抽样误差。
抽样误差的控制措施
抽样误差则是不可避免的,但可以减少,其措施有:
1、增加样本个案数。
2、适应选择抽样方式。
例如,在同样条件下,又重复抽样比重复抽样的抽样误差小,又如在总体现象分类比较明显时,采用分层随机抽样比其它方法的抽样误差小。由于总体真正的参数值未知,真正的抽样误差也未知,所以抽样误差的计算一般都以抽样平均误差来代表真正的抽样误差。
免责声明:本内容来源于第三方作者授权、网友推荐或互联网整理,旨在为广大用户提供学习与参考之用。所有文本和图片版权归原创网站或作者本人所有,其观点并不代表本站立场。如有任何版权侵犯或转载不当之情况,请您通过400-62-96871或关注我们的公众号与我们取得联系,我们将尽快进行相关处理与修改。感谢您的理解与支持!







请先 登录后发表评论 ~