抽样平均误差
抽样平均误差(Sampling average error)
什么是抽样平均误差
抽样平均误差是抽样平均数(或抽样成数)的标准差,它反映抽样平均数(或抽样成数)与总体平均数(或总体成数)的平均差异程度。由于从一个总体可能抽取多个样本,因此抽样指标(如平均数、抽样成数等),就有多个不同的数值,因而对全及指标(如总体平均数、总体成数等)的离差也就有大有小,这就必需用一个指标来衡量抽样误差的一般水平。
抽样平均数的平均数等于总体平均数,抽样成数的平均数等于总体总数,因而抽样平均数(或抽样成数)的标准差实际上反映了抽样平均数(或抽样成数)与总体平均数(或总体成数)的平均差异程度。
抽样平均误差的计算
(一)样本平均数的平均误差
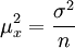
以μx表示样本平均数的平均误差, 表示总体的标准差。根据定义:
1、当抽样方式为重复抽样时,样本标志值
是相互独立的,样本变量x与总体变量X同分布。所以得:
(1)
它说明在重复抽样的条件下,抽样平均误差与总体标准差成正比,与样本容量的平方根成反比。
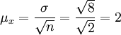
例1:有5个工人的日产量分别为(单位:件):6,8,10,12,14,用重复抽样的方法,从中随机抽取2个工人的日产量,用以代表这5个工人的总体水平。则抽样平均误差为多少?
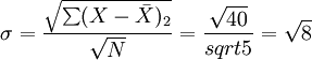
解:根据题意可得:
(件)
总体标准差
(件)
抽样平均误差
(件)
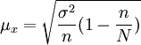
2、当抽样方式为不重复抽样时,样本标志值
不是相互独立的,根据数理统计知识可知:
(2)
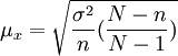
当总体单位数N很大时,这个公式可近似表示为:
(3)
与重复抽样相比,不重复抽样平均误差是在重复抽样平均误差的基础上,再乘以
,而
总是小于1,所以不重复抽样的平均误差也总是小于重复抽样的平均误差。如前例,若改用不重复抽样方法,则抽样平均误差为:
(件)
在计算抽样平均误差时,通常得不到总体标准差的数值,一般可以用样本标准差来代替总体标准差。
(二)抽样成数的平均误差
总体成数P可以表现为总体是非标志的平均数。即E(X)=P,它的标准差
。
根据样本平均误差和总体标准差的关系,可以得到样本成数的平均误差的计算公式。
1、在重复抽样下
(4)
2、在不重复抽样下
(5)
当总体单位数N很大时,可近似地写成:
(6)
当总体成数未知时,可以用样本成数来代替。
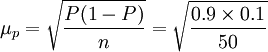
例2:某企业生产的产品,按正常生产经验,合格率为90%,现从5000件产品中抽取50件进行检验,求合格率的抽样平均误差。
解:根据题意,在重复抽样条件下,合格率的抽样平均误差为:
在不重复抽样条件下,合格率的抽样平均误差为:
免责声明:本内容来源于第三方作者授权、网友推荐或互联网整理,旨在为广大用户提供学习与参考之用。所有文本和图片版权归原创网站或作者本人所有,其观点并不代表本站立场。如有任何版权侵犯或转载不当之情况,请您通过400-62-96871或关注我们的公众号与我们取得联系,我们将尽快进行相关处理与修改。感谢您的理解与支持!







请先 登录后发表评论 ~