超几何分布
什么是超几何分布
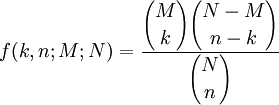
作为离散概率分布的超几何分布尤其指在抽样试验时抽出的样品不再放回去的分布情况。在一个容器中一共有N个球,其中M个黑球,(N − M)个红球,通过下面的超几何分布公式可以计算出,从容器中抽出的n个球中(抽出的球不放回去)有k个黑球的概率是多少:
例如,容器中一共10个球,其中6个黑色,4个白色,一共抽5次(抽出的球不放回去),在这5个球中有3个黑球的概率是:
超几何分布和二项分布的关系
和二项分布不同的是,在超几何分布中,特别强调的是抽出的样品在下一次抽取前不再放回去,但是如果抽取的次数n和总共样品数N相比很小(大约n / N < 0,05),这时在计算上二项分布和超几何分布相互间则没有主要的区别,此时人们更愿意采用二项分布的方法,因为在数学计算上二项分布要简单一些。
免责声明:本内容来源于第三方作者授权、网友推荐或互联网整理,旨在为广大用户提供学习与参考之用。所有文本和图片版权归原创网站或作者本人所有,其观点并不代表本站立场。如有任何版权侵犯或转载不当之情况,请您通过400-62-96871或关注我们的公众号与我们取得联系,我们将尽快进行相关处理与修改。感谢您的理解与支持!







请先 登录后发表评论 ~