估计量
估计量(estimator)
什么是估计量
估计量是指一个公式或方法,它告诉人们怎样用手中样本所提供的信息去估计总体参数。在一项应用中,依据估计量算出的一个具体的数值,称为估计值。
估计量的优良性准则[1]
1.无偏性
估计量
是一个随机变量,对一次具体的观察或试验的结果,估计值可能较真实的参数值有一定偏离,但一个好的估计量不应总是偏小或偏大,在多次试验中所得估计量的平均值应与参数的真值相吻合,这正是无偏性的要求。
【定义1】 设(X1,X2,...,Xn)为来自总体X的样本,
为总体的未知参数,
为θ的一个估计量.若对于任意
有
(1)
则称
为θ的无偏估计量.记
称bn以
作为θ的估计的偏差,当
时,称
为θ的有偏估计量,若
则称
是θ的渐近无偏估计.
无偏性的意义是,用一个估计量
去估计未知参数θ,有时候可能偏高,有时候可能偏低,但是平均来说它等于未知参数θ。
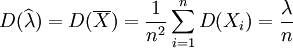
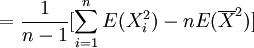
【定理1】 设对总体X,有E(X) = μ,D(X) = σ2从总体X中抽取样本X1,X2,...,Xn用
,S2分别表示样本均值和样本修正方差,则
(1)
是 μ 的无偏估计量;
(2)S2是 σ2的无偏估计量.
证 由题设,E(Xi) = μ,D(Xi) = σ2(i = 1,2,...,n),且诸Xi独立。于是有
(1)
,即
是总体均值μ的无偏估计量。
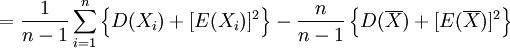
(2)因总体X的期望E(X) = μ和方差D(X) = σ2存在,则
故S2是总体方差σ2的无偏估计量.
但对
,有
若n很大时,则
很接近1,表明
不是 σ2 的无偏估计,而是σ2的渐近无偏估计。
【例1】 设总体X的k阶矩
存在,(X1,X2,...,Xn)为来
自总体X的样本,试证明不论总体X服从什么分布,k阶样本矩
是k阶总体矩μk的无偏估计.
证 X1,X2,...,Xn与X同分布,故有
即有
【例2】 设总体X服从参数为λ的指数分布,其概率密度为
其中参数λ > 0 但未知,又设X1,X2,...,Xn为来自总体X的样本,试证
和nZ = n[min(X1,X2,...,Xn)]都是1 / λ的无偏估计.
证 因E
,所以
是1 / λ的无偏估计量.而Z = [min(X1,X2,...,Xn)]具有概率密度
故知E(Z) = 1 / nλ,从而E(nZ) = 1 / λ,即nZ也是1 / λ的无偏估计量
此例结果表明,一个未知参数可以有不同的无偏估计量.值得注意,若
是 θ的无偏估计,g(θ)是θ的函数,
不一定是g(θ)的无偏估计.
【例3】 试证样本标准差S不是总体标准差 σ 的无偏估计.
证 因为σ2 = E(S2) = D(S) + [E(S)]2,注意到
,所以
,于是
,这表明尽管S2是σ2的无偏估计,但S不是总体标准差σ的无偏估计.用样本标准差S去估计总体的标准差 σ ,平均来说是偏低了.
2.有效性
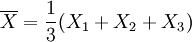
用样本统计量作为总体参数的估计量,其无偏性是重要的,但同一参数的无偏估计不是唯一的,还应该从中选取最好的.例如,从总体X中抽取样本X1,X2,X3,则
是总体均值 μ 的无偏估计.考虑E(Xi) = μ,则每个Xi也都是 μ 的无偏估计.还有
, 其数学期望也是μ,它也是μ的无偏估计。
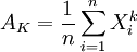
一般只要
,
就是μ的无偏估计.这么多无偏估计中哪一个更好一些呢?这就有了有效性的概念.
对于参数 θ 的无偏估计量,其取值应在真值附近波动,我们自然希望它与真值之间的偏差越小越好,也就是说无偏估计量的方差越小越好.
【定义2】 设
与
均为未知参数θ的无偏估计量,若
(2)
则称
比
有效
【定理2】 总体均值μ的所有线性无偏估计中,以
最为有效。
证 μ的所有线性无偏估计
,中
其方差
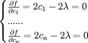
要求这个方差的最小值,相当于求函数
,在条件
下的最小值.这是一个条件极值问题,用拉格朗日乘数法,令
由
得
即c1 = c2 = ... = cn
代入
,则
。
这是唯一驻点,应是极小值点,亦是最小值点,即当
时,
达到最小,即
为方差最小值.这表明在总体均值μ的所有线性无偏估计中,以
最为有效.
【例4】(续例2)在例2的条件下,试证当
时,θ的无偏估计量
比无偏估计量nZ有效.
证 因为
,所以
.再由Z的密度函数可得
,故有
。当
时
,故
比nZ有效.
在θ的所有无偏估计量中,若
是具有最小方差的无偏估计量,则称
为θ的一致最小方差无偏估计量最优无偏估计量.
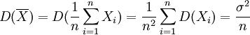
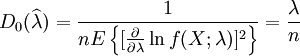
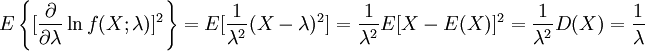
可以证明,无偏估计量
的方差
的下界D0(θ)为
当
时,
就是θ的最优无偏估计量.这里,f(x,θ)表示连续型随机变量的概率密度或离散型随机变量的概率函数.
【例5】 设总体X服从参数为λ的泊松分布,X1,X2,...,Xn是来自该总体的一个样本,求参数λ的极大似然估计量
,并证明
是参数λ的最优估计量.
解 设样本的一个观察值为X1,X2,...,Xn,则似然函数
令
得
由于
,故
是参数λ的无偏估计量.
又因
lnf(x;λ) = − λ + xlnλ − ln(x!)
所以
因此,
,即
是参数λ的最优估计量
3.一致性
上面从无偏性和有效性两个方面讨论了选择估计量的标准,但它们都是在固定样本容量竹的前提下提出的.容易想象,如果样本容量越大,样本所含的总体分布的信息应该越多,我们希望随着样本容量的增大,估计量的值能够稳定于待估参数的真值,估计量的这种性质称为一致性.
【定义3】设
为参数θ的估计量,若对于任意
及任意ε > O,有
(3)
即
依概率收敛于θ,则称
为θ的一致估计量(或相合估计量).
【例6】证明样本k阶原点矩
是总体k阶原点矩
的一致估计.
证由于X1,X2,...,Xn相互独立与X同分布,所以对任意
,
也相互独立与Xk同分布.因此,由大数定律,对于任意ε > 0,有
此表明Ak是 μk的一致估计量.
进而,若待估参数θ = g(μ1,μ2,...,μk),其中g(·)为连续函数,则θ的估计量
(这里Ak为样本k阶原点矩)是θ的一致估计量。由此可证,样本方差 S2 是总体方差σ2 的一致估计量。
参考文献
- ↑ 陈荣江,王建平主编.概率论与数理统计.科学出版社,2012.03
免责声明:本内容来源于第三方作者授权、网友推荐或互联网整理,旨在为广大用户提供学习与参考之用。所有文本和图片版权归原创网站或作者本人所有,其观点并不代表本站立场。如有任何版权侵犯或转载不当之情况,请您通过400-62-96871或关注我们的公众号与我们取得联系,我们将尽快进行相关处理与修改。感谢您的理解与支持!







请先 登录后发表评论 ~