结构影响指数
什么是结构影响指数
结构影响指数又称结构变动影响指数,是指以总体内部各组结构变动为基础,采用各组水平为权数加权平均计算的相对数。它说明总体内部各组结构变动的情况。
依据指数分析法原理,为了消除组平均指标变动的影响,反映总体结构的变动对总平均工资变动的影响,要把组平均指标固定在基期。
结构影响指数计算公式[1]
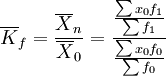
结构影响指数的计算公式是:
式中的
、
分别表示报告期和基期的总平均水平,x1和x0表示报告期和基期总体内各组的平均水平。
表示报告期工人的构成计算的基期工人的平均工资水平,
表示报告期总体内部工人的构成。
结构影响指数的编制方法[1]
现根据表所示资料,编制结构影响指数并进行分析。
表某物流配送中心职工人数及平均工资资料
=1040-1160=-120(元)
即排除组平均工资变动的影响,纯粹由于总体结构变动的影响,使总平均工资报告期比基期下降10.34%,人均减少了120元。
结构影响指数、可变指数与固定结构指数的关系[2]
可变指数、固定结构指数和结构影响指数之间所存在的联系,与指数体系不同。指数体系及其绝对值的分析,是用来研究社会经济现象总体的总动态中各因素——包括数量指标因素和质量指标因素的变动影响作用;这里所讲的各个指数之间和各个绝对值之间的相互联系,是在分组的条件下分析平均指标(质量指标)变动中各个因素的影响作用——包括各组平均指标水平的变化和总体内部结构变动对平均指标的影响。因此。不论在分析内容和作用上都是有区别的。
可变指数=固定结构指数×结构影响指数。
相关条目
- 可变结构指数
- 固定结构指数
参考文献
免责声明:本内容来源于第三方作者授权、网友推荐或互联网整理,旨在为广大用户提供学习与参考之用。所有文本和图片版权归原创网站或作者本人所有,其观点并不代表本站立场。如有任何版权侵犯或转载不当之情况,请您通过400-62-96871或关注我们的公众号与我们取得联系,我们将尽快进行相关处理与修改。感谢您的理解与支持!







请先 登录后发表评论 ~