概率密度函数
什么是概率密度函数
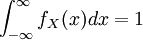
概率密度函数是指一个描述这个随机变量的输出值,在某个确定的取值点附近的可能性的函数。而随机变量的取值落在某个区域之内的概率则为概率密度函数在这个区域上的积分。当概率密度函数存在的时候,累积分布函数是概率密度函数的积分。概率密度函数一般以小写标记。
概率密度函数的常见定义
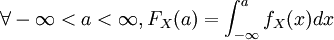
对于一维实随机变量X,设它的累积分布函数是FX(x)。如果存在可测函数fX(x),满足:
那么X是一个连续型随机变量,并且fX(x)是它的概率密度函数。
概率密度函数的性质
连续型随机变量的概率密度函数有如下性质:
如果概率密度函数fX(x)在一点x上连续函数|连续,那么累积分布函数导数|可导,并且它的导数:
由于随机变量X的取值
只取决于概率密度函数的积分,所以概率密度函数在个别点上的取值并不会影响随机变量的表现。更准确来说,如果一个函数和X的概率密度函数取值不同的点只有有限个、可数无限个或者相对于整个实数轴来说测度为0(是一个测度|零测集),那么这个函数也可以是X的概率密度函数。
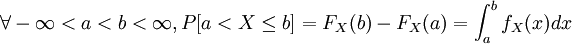
连续型的随机变量取值在任意一点的概率都是0。作为推论,连续型随机变量在区间上取值的概率与这个区间是开区间还是闭区间无关。要注意的是,概率
,
但{X = a}并不是不可能事件。
概率密度函数的例子
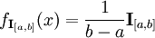
最简单的概率密度函数是连续型均匀分布|均匀分布的密度函数。对于一个取值在区间[a,b]上的均匀分布函数
,它的概率密度函数:
也就是说,当x不在区间[a,b]上的时候,函数值等于0,而在区间[a,b]上的时候,函数值等于
。这个函数并不是完全的连续函数,但是是可积函数。
正态分布是重要的概率分布。它的概率密度函数是:
随着参数μ和σ变化,概率分布也产生变化。
概率密度函数的应用
随机变量X的n阶矩_(数学)|矩是X的n次方的期望值,即
X的方差为:
更广泛的说,设g为一个有界函数|有界连续函数|连续函数,那么随机变量g(X)的数学期望
概率密度函数的特征函数
对机率密度函数作类似傅立叶变换可得特征函数(概率论)。
特征函数与机率密度函数有一对一的关系。因此,知道一个分布的特征函数就等同于知道一个分布的机率密度函数。
免责声明:本内容来源于第三方作者授权、网友推荐或互联网整理,旨在为广大用户提供学习与参考之用。所有文本和图片版权归原创网站或作者本人所有,其观点并不代表本站立场。如有任何版权侵犯或转载不当之情况,请您通过400-62-96871或关注我们的公众号与我们取得联系,我们将尽快进行相关处理与修改。感谢您的理解与支持!







请先 登录后发表评论 ~