多因素指数分析法
什么是多因素指数分析法
多因素指数分析法是指如果影响某个总量指标的因素是三个或三个以上的因素分析法。多因素指数分析的原理与两因素的指数分析法的原理相同,是两因素分析法的推广。
多因素指数分析法的基本步骤[1]
多因素指数分析法的基本步骤是:
第一步,分析确定要研究的总量指标及影响总量指标的多个因素,并确定多个因素之问的逻辑关系。
第二步,将总量指标表示为多个因素指标的连乘积,并对多个因素指标按照逻辑关系排序,把数量因素排在前面,质量因素排在后面。
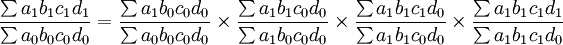
第三步,建立指数体系。即总量指标指数等于各个因素指标指数的连乘积,在计算某个因素的指数时,要把其他因素的变动固定下来。其同度量因素的选取原则是:排在前面的因素都固定在报告期,排在后面的因素都固定在基期。
第四步,根据统计资料,分别从相对数和绝对值上逐个分析每个因素的变动对总量指标变动的影响方向、程度和绝对值。
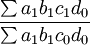
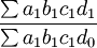
设E为某个总量指标,影响它的因素有a、b、c、d,从逻辑关系上有E=a×b×c×d,则四个因素的指数体系为——
相对数:
绝对数:
式中:(1)
为总量指标指数,表明总量指标变动的相对程度;
,表明总量指标变动的绝对程度。
(2)
表明因素a对总量指标变动的影响方向。
表明因素a对总量指标变动的影响程度。
(3)
表明因素b对总量指标变动的影响方向。
表明因素b对总量指标变动的影响程度。
(4)
表明因素c对总量指标变动的影响方向。
表明因素c对总量指标变动的影响程度。
(4)
表明因素d对总量指标变动的影响方向。
表明因素d对总量指标变动的影响程度。
参考文献
- ↑ 刘桂荣.统计学原理[M].华东理工大学出版社,2009.09.
免责声明:本内容来源于第三方作者授权、网友推荐或互联网整理,旨在为广大用户提供学习与参考之用。所有文本和图片版权归原创网站或作者本人所有,其观点并不代表本站立场。如有任何版权侵犯或转载不当之情况,请您通过400-62-96871或关注我们的公众号与我们取得联系,我们将尽快进行相关处理与修改。感谢您的理解与支持!







请先 登录后发表评论 ~