二次抛物线外推法
什么是二次抛物线外推法[1]
二次抛物线外推法是指一种预测方法。是趋势外推法中曲线外推的一种。指当被观察对象的发展趋势与时间序列成二次抛物线关系时,建立二次抛物线方程,对已知观察值作出拟合,并用来进行外推预测的方法。
二次抛物线外推法的方程[2]
当某一现象的发展是受两个因素的影响,而各年递增量之差大体相同时,可以用二次抛物线外推法。
二次抛物线外推法的方程是:
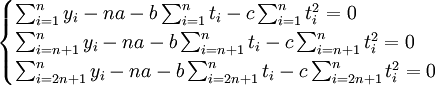
待定参数a,b,c可以用平均法,将原数列分成三部分,组成下列联立方程组:
待定参数a,b,c求得后,即可求出方程
。根据方程预测。
相关条目
- 直线趋势外推预测法
参考文献
免责声明:本内容来源于第三方作者授权、网友推荐或互联网整理,旨在为广大用户提供学习与参考之用。所有文本和图片版权归原创网站或作者本人所有,其观点并不代表本站立场。如有任何版权侵犯或转载不当之情况,请您通过400-62-96871或关注我们的公众号与我们取得联系,我们将尽快进行相关处理与修改。感谢您的理解与支持!







请先 登录后发表评论 ~