符号检验
符号检验(Sign test)
什么是符号检验
符号检验法是通过两个相关样本的每对数据之差的符号进行检验,从而比较两个样本的显著性。具体地讲,若两个样本差异不显著,正差值与负差值的个数应大致各占一半。
符号检验与参数检验中相关样本显著性t检验相对应,当资料不满足参数检验条件时,可采用此法来检验两相关样本的差异显著性。
根据符号检验判断差异显著性时也要查表找出相应的临界值。但特别应注意的是在某一显著性水平下,实得的r值大于表中r的临界值时,表示差异不显著,这一点与参数检验时的统计量和临界值的判断结果不同。
表1 单侧符号检验统计判断规则
符号检验的步骤
编符号:一对一比较,如果前者大于后者,或者前者较优,记以符号”+”,否则记以”-”,如二者相等或不能判明优劣,就记为”0”。 建立假设:
H0:P(X1 > X2) = P(X2 > X1) = 0.5
清点“+”、“-”、“0”各有几个,分别记为n+、n-、n0
进行显著性检验
查符号检验表(表中N = n + + n − ):r = min(n + ,n − ),查表,如r>表值,差异不显著,r≤表值,差异显著。
符号检验的计算方法[1]
符号检验的具体检验方法因样本大小的不同而不同。
1、小样本(N<25)时的检验方法
例1:研究人员将三岁儿童经配对而成的实验组进行颜色试验教学,对照组不进行此种教学。后期测验得分如表2。问颜色教学是否有显著效果?
解:检验步骤:
(1)建立假设:
- H0:颜色教学无显著效果
- H1:颜色教学有显著效果
(2)求差数并记符号:计算X1 与X2每对数据的差数,“+”的个数n + = 7,“-”的个数n − = 3,差数为0不予考虑。于是有:n = n + + n − = 7 + 3 = 10。将n + 和n_中较小的一个记为r,本例r=3。
(3)统计决断:根据n = n + + n − = 7 + 3 = 10及显著性水平,查符号检验表寻找r的临界值,r0.05 = 1,而实际的r=3, 有r > r0.05 。由于符号检验表是单侧检验表,进行双侧检验时,其显著性水平应乘以2。所以本例应在0.10显著性水平上保留虚无假设,拒绝备择假设。其结论为:颜色教学无显著效果。
2、大样本(N>25)时的检验方法
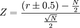
对于差值的正负号差异的检验本属于二项分布的问题,当样本容量较大即(N>25)时,二项分布近似于正态分布,因此可用Z比率作为检验统计量。检验公式为:
(1)
式中:r为n + 或n_的数值,N为n + 与n_之和。±0.5为校正数,当
时用r-0.5,当
时用r+0.5。
例2:某省幼教培训中心,对30名幼儿园教师进行手工技能培训,培训前后的测验结果如表2,试问培训前后的两次测验结果差异是否显著?
30名幼儿园教师培训前后的两次测验结果
解:检验步骤:
(1)建立假设:
- H0:手工技能培训无显著效果
- H1:手工技能培训有显著效果
(2)求差数并记符号:计算X1与X2每对数据的差数,“+”的个数n + = 9,“-”的个数n_=21,差数为0不予考虑。于是有: N = n + + n − = 9 + 21 = 30。将n + 和n − 中较小的一个记为r,本例r=9。
由于样本容量比较大,则可使用(公式1)计算:
(3)统计决断:因为|Z|<1.96,所以本例应在0.05显著性水平上保留虚无假设,拒绝备择假设。其结论为:手工技能培训无显著效果。
符号检验法的优点是不需要对所要检验的两个总体的分布形态做任何假定,并且计算简便。其最大的缺点是它只考虑符号,不考察差数的大小,因而失去样本所提供的一部分信息。对于同一样本数据,采用符号检验的精确度,只相当于卡方检验的60%,因此除了小样本,一般不使用符号检验。
附表:符号检验表
参考文献
免责声明:本内容来源于第三方作者授权、网友推荐或互联网整理,旨在为广大用户提供学习与参考之用。所有文本和图片版权归原创网站或作者本人所有,其观点并不代表本站立场。如有任何版权侵犯或转载不当之情况,请您通过400-62-96871或关注我们的公众号与我们取得联系,我们将尽快进行相关处理与修改。感谢您的理解与支持!







请先 登录后发表评论 ~