灰数统计方法
什么是灰数统计方法
灰数统计方法是以灰数的白化函数生成为基础,将一些具体数据按某种灰类所描述的类别进行归纳整理,从而来加强对事物认识的一种方法[1]。
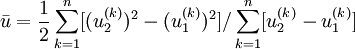
灰元、灰数、灰关系是灰色现象的特征,是灰色系统的标志。而灰数又是灰色系统的内核。在技术系统、经济系统、社会系统、教育系统和管理等系统中,人们对某待评项目(指标)的评价不仅包含着许多不确定性、随机性和模糊性,而且涉及到心理因素,故有灰内话。同一评价者在不同次的评定中可能给出不同的结果,不同的评价者其结果可能差异更大,而且在评价中也很难获得一个确切的值(数),评价者往往用“大约是多少”,“在多少到多少之间”,甚至是“差不多” ,“比较可靠”等方式表达他们的估计。这样的结果值以其内涵被定义为灰数。对这些灰数进行统计分析,一般的方法无能为力,因此而寻求一种方法分析估价这些评价,以减少评价误差。灰数统计原理和方法为解决这类同题提供了科学方法。
灰数统计方法的内容及原理[2]
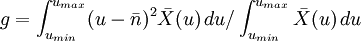
以某风险性指标(以c表示)的风险性大小为例,选n个评价者在轴
上10个等级上给出估计。人们通常不能确定地说是多少,而常给出类似[O.5,0.7]之间的估计,这就是说对于任一评价者来说,虽然不能给出一个确定的点,但其评价总会稳定在一个区间内,记为[O.5,0.7],k表示第k个评价者。若有n个评价者便可得到n个区间值,形成一个灰数统计序列:
[
],
,...,
这n个小子集叠加在一起则形成覆盖在评价值轴上的一种分布:
这种分布可用下式描述:
(1)
其中:
被称为样本落影函数,那么指标c的评价值取为:
(2)
其中umin和umax分别为指标c可能的最高、最低取值。可以证明:
(3)
(4)
则:
(5)
事实上,它不仅处理不确切的评价,而且很方便地集中了多种意见或试验结果,减少了评价中的随机误差.更重要的是它可以充分利用评价过程中的信息.除获得了评价值
外,还可通过分析
获得评价者对指标的把握度。
a.当指标可以准确定量时,
是一个常数1。如图1-a,说明评价者对指标的把握度最大。
b.当 次试验或n个区间估计很不集中时,说明评价者对指标的把握程度较小.此时
的形状比较扁平(图1-b)。
c.当 n个评价区间的分布比较集中,则说明评价者对指标的把握程度较高。此时
的形状比较尖瘦(图1-c)。
以上分析表明n次试验结果分布的集中程度,即
形状的“胖瘦”反映了评价者对指标的把握度。完全有把握,意见一致,评价值非常集中。把握不大,意见就不一致,评价值就比较分散.于是根据
我们可分析指标评价的可靠程度。定义
(6)
可以证明:
=
(7)
有式(7)和式(3)有
(8)
则很明显,g越大,评价者对指标的把握度越小,指标价值的可靠程度也就越低,故有定义:指标c(第i个指标)的置信度bai为指标评价值可靠程度的一种度.评价值可靠程度越大,指标置信度越高。
bai = 1 / (1 − gi) (9)
其中g_i为评价指标i时得到的g;a为置信水平。
然而,由于每个指标都得到一个bi,故定义指标总置信度为:
(10)
参考文献
免责声明:本内容来源于第三方作者授权、网友推荐或互联网整理,旨在为广大用户提供学习与参考之用。所有文本和图片版权归原创网站或作者本人所有,其观点并不代表本站立场。如有任何版权侵犯或转载不当之情况,请您通过400-62-96871或关注我们的公众号与我们取得联系,我们将尽快进行相关处理与修改。感谢您的理解与支持!







请先 登录后发表评论 ~