矩法估计
什么是矩法估计
对于随机变量来说,矩是其最广泛,最常用的数字特征,母体ξ的各阶矩一般与ξ的分布中所含的未知参数有关,有的甚至就等于未知参数。由辛钦大数定律知,简单随机子样的子样原点矩
依概率收敛到相应的母体原点矩Eξr,r = 1,2,Λ。这就启发我们想到用子样矩替换母体矩(今后称之为替换原则),进而找出未知参数的估计,基于这种思想求估计量的方法称为矩法。用矩法求得的估计称为矩法估计,简称矩估计。它是由英国统计学家皮尔逊Pearson于1894年提出的。
矩法估计的理论依据
由辛钦大数定律知:
即对
,有
或
矩法估计的具体步骤
设母体ξ的概率函数为f(x,θ1,Λ,θk),其中
是k个未知参数,ξ1,Λ,ξn是取自这一母体的一个子样。设ξ的k阶矩vk = Eξk存在,则vj,j < k都存在,并且是θ1,Λ,θk的函数vj(θ1,Λ,θk),又子样ξ1,Λ,θk的j阶矩为
。我们设
(1)
这样我们就得到含k个未知参数θ1,Λ,θk的k个方程,解由这k个方程联列所构成的方程组就可以得到theta1,Λ,θk的一组解:
(2)
用(2)中的解
来估计参数θi 就是矩法估计。
一般我们考察
的情形。
在数理统计学中,我们一般用
表示θ的估计量。
下面我们举一个与实际问题有关的多参数的矩法估计问题。
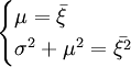
例:已知大学生英语四级考试成绩ξ~N(μ,σ2),均值μ,方差σ2均未知,ξ1,Λ,ξn为取自母体ξ的一个子样,(x1,Λ,xn)是子样的一组观测值,求μ与σ2的矩法估计。
解:注意到有两个未知参数,由矩法估计知需两个方程,按照(1)式得方程组
解这一方程组得μ与σ的矩法估计量
从而μ与σ2的矩法估计值分别为
。
分析:注意到我们这里求出μ与σ2的矩法估计并未用到母体ξ的分布。这样对μ,σ2作出了估计,也就对整个母体分布作出了推断,进而对大学生英语四级考试成绩ξ相关的其它数字特征如标准分、标准差、偏态系数等作出了估计。
矩法估计的优缺点
矩法估计原理简单、使用方便,使用时可以不知母体的分布,而且具有一定的优良性质(如矩估计
为Eξ的一致最小方差无偏估计),因此在实际问题,特别是在教育统计问题中被广泛使用。
但在寻找参数的矩法估计量时,对母体原点矩不存在的分布如柯西分布等不能用,另一方面它只涉及母体的一些数字特征,并未用到母体的分布,因此矩法估计量实际上只集中了母体的部分信息,这样它在体现母体分布特征上往往性质较差,只有在样本容量n较大时,才能保障它的优良性,因而理论上讲,矩法估计是以大样本为应用对象的。
免责声明:本内容来源于第三方作者授权、网友推荐或互联网整理,旨在为广大用户提供学习与参考之用。所有文本和图片版权归原创网站或作者本人所有,其观点并不代表本站立场。如有任何版权侵犯或转载不当之情况,请您通过400-62-96871或关注我们的公众号与我们取得联系,我们将尽快进行相关处理与修改。感谢您的理解与支持!







请先 登录后发表评论 ~