TOPSIS法
TOPSIS法(Technique for Order Preferenceby Similarity to Ideal Solution,)逼近理想解排序法、理想点法
TOPSIS法概述
TOPSIS (Technique for Order Preference by Similarity to an Ideal Solution )法是C.L.Hwang和K.Yoon于1981年首次提出,TOPSIS法根据有限个评价对象与理想化目标的接近程度进行排序的方法,是在现有的对象中进行相对优劣的评价。理想化目标(Ideal Solution)有两个,一个是肯定的理想目标(positive ideal solution)或称最优目标,一个是否定的理想目标(negative ideal solution)或称最劣目标,评价最好的对象应该是与最优目标的距离最近,而与最劣目标最远,距离的计算可采用明考斯基距离,常用的欧几里德几何距离是明考斯基距离的特殊情况。
TOPSIS法是一种理想目标相似性的顺序选优技术,在多目标决策分析中是一种非常有效的方法。它通过归一化后的数据规范化矩阵,找出多个目标中最优目标和最劣目标(分别用理想解和反理想解表示) ,分别计算各评价目标与理想解和反理想解的距离,获得各目标与理想解的贴近度,按理想解贴近度的大小排序,以此作为评价目标优劣的依据。贴近度取值在0~1 之间,该值愈接近1,表示相应的评价目标越接近最优水平;反之,该值愈接近0,表示评价目标越接近最劣水平。该方法已经在土地利用规划、物料选择评估、项目投资、医疗卫生等众多领域得到成功的应用,明显提高了多目标决策分析的科学性、准确性和可操作性。
TOPSIS法的基本原理
其基本原理,是通过检测评价对象与最优解、最劣解的距离来进行排序,若评价对象最靠近最优解同时又最远离最劣解,则为最好;否则为最差。其中最优解的各指标值都达到各评价指标的最优值。最劣解的各指标值都达到各评价指标的最差值。
TOPSIS法中“理想解”和“负理想解”是TOPSIS法的两个基本概念。所谓理想解是一设想的最优的解(方案),它的各个属性值都达到各备选方案中的最好的值;而负理想解是一设想的最劣的解(方案),它的各个属性值都达到各备选方案中的最坏的值。方案排序的规则是把各备选方案与理想解和负理想解做比较,若其中有一个方案最接近理想解,而同时又远离负理想解,则该方案是备选方案中最好的方案。
TOPSIS法的数学模型[1]
遇到多目标最优化问题时,通常有m 个评价目标
每个目标有n 评价指标
。首先邀请相关专家对评价指标(包括定性指标和定量指标) 进行打分,然后将打分结果表示成数学矩阵形式,建立下列特征矩阵:
。
计算规范化矩阵
对特征矩阵进行规范化处理,得到规格化向量rij ,建立关于规格化向量rij的规范化矩阵
。
构造权重规范化矩阵
通过计算权重规格化值vij,建立关于权重规范 化值vij 的权重规范化矩阵
。
其中,wj是第j 个指标的权重。在基于ASP的动态联盟制造资源评估模型中,采用的权重确定方法有Delphi法、对数最小二乘法、层次分析法、熵等。
确定理想解和反理想解
根据权重规格化值vij来确定理想解A * 和反理想解A − :
。
。
其中,J1是收益性指标集, 表示在第i个指标上的最优值; J2是损耗性指标集, 表示在第i个指标上的最劣值。收益性指标越大,对评估结果越有利;损耗性指标越小,对评估结果越有利。反之,则对评估结果不利。
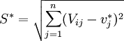
计算距离尺度
计算距离尺度,即计算每个目标到理想解和反理想解的距离,距离尺度可以通过n维欧几里得距离来计算。目标到理想解A * 的距离为S * ,到反理想解A − 的距离为S − :
。
其中,
与
分别为第j个目标到最优目标及最劣目标的距离, vij是第i个目标第j个评价指标的权重规格化值。S * 为各评价目标与最优目标的接近程度, S * 值越小,评价目标距离理想目标越近,方案越优。
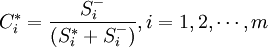
计算理想解的贴近度C *
。
式中,
。当
时, Ai = A − ,表示该目标为最劣目标;当
时, Ai = A * , 表示该目标为最优目标。在实际的多目标决策中, 最优目标和最劣目标存在的可能性很小。
根据理想解的贴近度C * 大小进行排序
根据C * 的值按从小到大的顺序对各评价目标进行排列。排序结果贴近度C * 值越大,该目标越优,C * 值最大的为最优评标目标。
参考文献
- ↑ 李浩、罗国富、谢庆生.基于应用服务提供商的动态联盟制造资源评估模型研究
免责声明:本内容来源于第三方作者授权、网友推荐或互联网整理,旨在为广大用户提供学习与参考之用。所有文本和图片版权归原创网站或作者本人所有,其观点并不代表本站立场。如有任何版权侵犯或转载不当之情况,请您通过400-62-96871或关注我们的公众号与我们取得联系,我们将尽快进行相关处理与修改。感谢您的理解与支持!







请先 登录后发表评论 ~