皮尔曲线预测法
什么是皮尔曲线预测法
皮尔曲线的预测法是指根据预测对象具有皮尔曲线变动趋势的历史数据,拟合成一条皮尔曲线,通过建立皮尔曲线模型进行预测的方法。
皮尔曲线预测法的产生
皮尔曲线是1938年比利时数学家哈尔斯特(P.F verhulst)首先提出的一种特殊曲线。后来,近代生物学家皮尔(R.Pearl)和L·J·Reed两人把此曲线应用于研究人口生长规律。所以这种特殊的曲线称之为皮尔增长曲线,简称皮尔曲线。当经济变量的发展变化表现为初期增长速度缓慢,随后增长速度逐渐加快,达到一定程度后又逐渐减慢,最后达到饱和状态的趋势,即原时间序列倒数的一阶差分的环比为一个常数,可以用皮尔曲线来描述。因此,皮尔曲线的预测法是根据预测对象具有皮尔曲线变动趋势的历史数据,拟合成一条皮尔曲线,通过建立皮尔曲线模型进行预测的方法。
皮尔曲线预测法的模型[1]
其模型为:
(1)
式中:
——第t期的预测值;
t——时间序列的时序号;
a、b、k——参数。
皮尔曲线预测法的计算方法[1]
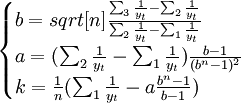
我们仍然以三和值法对皮尔模型的参数a、b、k进行估计。
将(1)的皮尔模型变形为:
设有3n个观察值,将时序分成每个间距数为n的三段,分别求出每一间距期数和:
。
仿照龚珀兹预测模型估计参数的三段法,求得参数a、b、k的计算公式如下:
参考文献
免责声明:本内容来源于第三方作者授权、网友推荐或互联网整理,旨在为广大用户提供学习与参考之用。所有文本和图片版权归原创网站或作者本人所有,其观点并不代表本站立场。如有任何版权侵犯或转载不当之情况,请您通过400-62-96871或关注我们的公众号与我们取得联系,我们将尽快进行相关处理与修改。感谢您的理解与支持!







请先 登录后发表评论 ~