切尾均值
切尾均值(Trimmed Mean)
什么是切尾均值
切尾均值又称“截尾均值”,是指在一个数列中,去掉两端的极端值后所计算的算术平均数。
切尾均值是综合了均值和中位数两种计量优点的一种新的对集中趋势测度的计量。切尾均值现已广泛应用于电视大奖赛、体育比赛及需要由人们进行综合评价的竞赛项目,我们在电视中所熟悉的“去掉一个最高分,去掉一个最低分,最后得分是×分”就是利用切尾均值方法进行的评估。
切尾均值的计算
切尾均值的计算公式:
式中:n表示观察值的个数;a表示由人们决定的大于等于0又小于
的系数,即0≤a<
;[ ]表示取整数,
表示
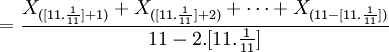
的顺序统计量。切尾均值的计算特点是先将观察值两端的个别极大或极小值切去,然后再对中间的观察值进行平均。两端各切去几个数值,通过我们给定a值加以确定。当a=0时,切尾均值等于均值:当a接近1/2时,切尾均值接近于或等于中位数。例如某次比赛共有11名评委,对某位歌手的给分分别是
9.22、9.25、9.20、9.30、9.65、9.30、9.27、9.20、9.28、9.25、9.24经整理,顺序统计量为9.20、9.20、9.22、9.24、9.25、9.25、9.27、9.28、9.30、9.30、9.65,如去掉一个
最高分,去掉一个最低分,则取a=1/11,切尾均值为:
- =9.26
这个平均得分避免了9.65 分这个极端高分的影响。如取a=0
即
;如果
即X5 > 11 = Me。可见,切尾均值是综合了均值与中位数优点的一种较理想的统计量。
免责声明:本内容来源于第三方作者授权、网友推荐或互联网整理,旨在为广大用户提供学习与参考之用。所有文本和图片版权归原创网站或作者本人所有,其观点并不代表本站立场。如有任何版权侵犯或转载不当之情况,请您通过400-62-96871或关注我们的公众号与我们取得联系,我们将尽快进行相关处理与修改。感谢您的理解与支持!







请先 登录后发表评论 ~