时间序列平滑模型
什么是时间序列平滑模型
时间序列平滑模型是指运用时间序列平滑法来构建时间序列的一个基础模型。时间序列是指将某一现象所发生的数量变化,依时间的先后顺序排列,以揭示随着时间的推移,这一现象的发展规律,从而用以预测现象发展的方向及其数量。
时间序列平滑模型的类型
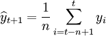
简单移动平均
简单移动平均值
对于平稳时间序列,可以取最近的n项数值的平均值作为下期的预测值。
yi为第i期的实际值
为第t+1期的预测值
例 某电子音响器材公司索尼牌单放机的逐月销售量记录如下:
简单移动平均的特点
N越大,对干扰的敏感性越低,预测的稳定性越好,响应性就越差。对数据不分远近,同等对待。
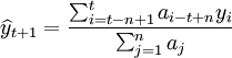
加权移动平均
加权移动平均值
yi为第i期的实际值
为第t+1期的预测值
ai − t + nyi为权重系数
例 当n=3时,a1=0.5, a2=1.0, a3=1.5,
加权移动平均的特点
n越大,预测的稳定性就好,响应性就越差;n越小,预测的稳定性就越差,响应性就越好。
近期数据的权重越大,则预测的稳定性就越差,响应性就越好;近期数据的权重越小,则预测的稳定性就越好,响应性就越差。
然而,ai和n的选择都没有固定的模式,都带有一定的经验性,究竟选用什么数值,要根据预测的实践而言。
次指数平滑法
一次指数平滑法的预测公式
例 某公司的月销售额记录,试取a=0.4和0.7,
,计算一次指数平滑预测值。
一次指数平滑预测值a=0.7
一次指数平滑法的特点
a选得小一些,预测的稳定性就比较好;反之,响应性比较好。
在有趋势的情况下,一次指数平滑法预测,会出现滞后现象。
经典时间序列分析
指导思想:历史上的销量模式可分解为四组成分:趋势、季节性波动、周期性变化和残差(或随机)波动。
趋势:销售的长期变化,原因包括人口变化、企业营销绩效变化、市场对企业产品和服务的接受程度根本变化。
季节性波动指时间序列中规律性的高峰和低谷,通常每12个月重复一次。造成季节性波动的因素有天气变化、购买模式随日历时间的变化和商品现货供应情况的变化。 周期性变化:需求模式长期的(超过一年)起伏变化。
残差(或随机)波动:总销售量中不能反映趋势、季节性或周期性变化的那一部分构成因素.
相关条目
- 简单时间序列平滑法
- 移动平均法
- 加权移动平均法
- 趋势预测法
- 指数平滑法
- 季节性趋势预测法
- 时间序列
- 时间序列分解模型
免责声明:本内容来源于第三方作者授权、网友推荐或互联网整理,旨在为广大用户提供学习与参考之用。所有文本和图片版权归原创网站或作者本人所有,其观点并不代表本站立场。如有任何版权侵犯或转载不当之情况,请您通过400-62-96871或关注我们的公众号与我们取得联系,我们将尽快进行相关处理与修改。感谢您的理解与支持!







请先 登录后发表评论 ~