调和平均数指数
什么是调和平均数指数
总指数是指反映现象总体的各个事物所构成的整个总体数量对比关系的相对数。它综合反映不能同度量的多种事物动态变化的程度和方向。调和平均数指数是将个体指数按调和平均数(
)形式加权平均计算的总指数。
在计算质量指标指数时(如商品价格指数),如果直接采用质量指标指数公式计算,必须掌握各种商品的销售量和价格资料,才能计算出
和
的值。在实际工作中,如果只有各种商品价格的个体指数和报告期商品流转额的资料时,就用报告期各种商品的流转额作为权数,采用加权调和平均数的方法来技术得到综合指数,就叫做加权调和平均数指数。已知:
和
资料,代入综合物价指数公式得:
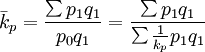
以上计算公式是以个体指数(kp)为变量(x),以报告期销售额(p1q1)为权数(m) 的物价个体指数的加权调和平均数(
)。从推导过程来看它是质量指标综合指数的变形。
调和平均数指数计算举例
例:根据表1三种商品销售量资料和价格资料计算商品销售量总指数。
以下表的商品销售量指数的计算为例,其具体情况见下表(调和平均数指数计算表):
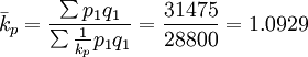
根据表中资料代入价权调和平均数指数计算公式得:
或109.29%
(万元)
计算结果及经济意义与采用综合指数的计算完全相同。这就表明:加权调和平均数指数实际上就是综合指数的变形。两者虽然形式不同,但结果和经济内容是一致的。
免责声明:本内容来源于第三方作者授权、网友推荐或互联网整理,旨在为广大用户提供学习与参考之用。所有文本和图片版权归原创网站或作者本人所有,其观点并不代表本站立场。如有任何版权侵犯或转载不当之情况,请您通过400-62-96871或关注我们的公众号与我们取得联系,我们将尽快进行相关处理与修改。感谢您的理解与支持!







请先 登录后发表评论 ~