因素比较分析法
什么是因素比较分析法
因素比较分析法是指对事物有影响的各因素的实际数与计划数,或本期数与上期数逐项进行比较,以便从其增减差异中,清楚地看出各因素对事物的影响程度和影响方向的方法。
因素比较分析法的形式
(1)实际数与计划数比较,借以检查计划的执行情况,分析超额完成和未完成总计划是由哪些因素的影响所造成的,进而对未完成部分研究其具体的改进办法,使计划完成得更好。用这种方法检查计划执行情况时,如发现各因素的实际值与计划值有较大差异时,应进一步研究计划订得是否过高或过低,为编制下期计划提供参考。
(2)本期实际与上期实际比较,从各因素的差异中,观察事物的发展变化是由哪些主要因素构成的。
(3)本期实际数与过去先进指标比较,也可以与国内外同行业的先进水平比较。从其差异中指出挖掘潜力的方向。
(4)各有关指标之间的比较,研究事物之间的内在联系和平衡关系等。
用因素比较分析法研究各因素的差异对总量指标的影响时,必须注意指标的可比性。
因素比较分析法的计算
构成总量指标变动的各因素之间,具有加减或乘式的都可以用因素比较法进行分析研究。
设经济现象的总量指标为W,分别以W1,和W2。代表报告期和基期的总量指标。影响总量指标变动的各因素指标为a、b、c、…、z,分别以a1、b1、c1、…、z1、a0、b0、c0、…、z0代表报告期和基期的各因素指标。则
(1)
(2)
把(1)式减(2)式,即:
(3)
设
。表示总量指标的增减量;
表示a因素指标的变动对总量指标的影响值;
表示b因素指标的变动对总量指标的影响值;
表示c因素指标的变动对总量指标的影响值;
表示z因素指标的变动对总量指标的影响值。
则因素比较分析法的绝对数计算公式为:
(4)
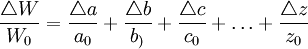
如果要进行相对数因素比较分析,只要在(4)式两边同时除以W0即得
(5)
免责声明:本内容来源于第三方作者授权、网友推荐或互联网整理,旨在为广大用户提供学习与参考之用。所有文本和图片版权归原创网站或作者本人所有,其观点并不代表本站立场。如有任何版权侵犯或转载不当之情况,请您通过400-62-96871或关注我们的公众号与我们取得联系,我们将尽快进行相关处理与修改。感谢您的理解与支持!







请先 登录后发表评论 ~