直线修匀法
什么是直线修匀法[1]
直线修匀法是动态数列修匀法的一种。按直线来修匀动态数列,用以确定最接近实际数列的理论数列的方法。
直线修匀法的应用[1]
把原始数列修匀成一条直线的方法很多。一般认为用最小二乘法得出的直线是“最佳”直线。用最小二乘法求得的趋势直线能使原数列实际数值(y)与趋势直线上相对应的理论数值
的窝差平方和为最小,即
为最小。趋势直线方程式为:
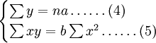
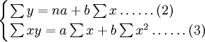
……1为了求得上式的参数a和b,可利用以下两个标准方程式:
使
,则简化为:
用下表资料来说明理论数列的计算过程。按表列资料代入公式解方程求出
为1676;
为216再代入(1)式趋势直线方程式为:
将上表
栏数字分别代入(6),即为
栏各年的理论数字
相关条目
- 曲线修匀法
- 季节变动预测法
- 动态数列修匀
- 指数平滑法
参考文献
免责声明:本内容来源于第三方作者授权、网友推荐或互联网整理,旨在为广大用户提供学习与参考之用。所有文本和图片版权归原创网站或作者本人所有,其观点并不代表本站立场。如有任何版权侵犯或转载不当之情况,请您通过400-62-96871或关注我们的公众号与我们取得联系,我们将尽快进行相关处理与修改。感谢您的理解与支持!







请先 登录后发表评论 ~