平均数
平均数(Average)
什么是平均数
平均数是统计学中最常用的统计量,用来表明资料中各观测值相对集中较多的中心位置。在畜牧业、水产业生产实践和科学研究中,平均数被广泛用来描述或比较各种技术措施的效果、畜禽某些数量性状的指标等等。
统计平均数是用于反映现象总体的一般水平,或分布的集中趋势。数值平均数是总体标志总量对比总体单位数而计算的。[1]
平均数的基本性质
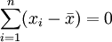
- 1、样本各观测值与平均数之差的和为零,即离均差之和等于零。
或简写成
- 2、样本各观测值与平均数之差的平方和为最小,即离均差平方和为最小。
(常数a≠
)
或简写为:
以上两个性质可用代数方法予以证明。
对于总体而言,通常用μ表示总体平均数,有限总体的平均数为:
式中,N表示总体所包含的个体数。
当一个统计量的数学期望等于所估计的总体参数时,则称此统计量为该总体参数的无偏估计量。统计学中常用样本平均数(
)作为总体平均数(μ)的估计量,并已证明样本平均数 是总体平均数μ的无偏估计量。
平均数的类型
平均数主要包括有算术平均数(arithmetic mean)、中位数(median)、众数(mode)、几何平均数(geometric mean)及调和平均数(harmonic mean)。
1、算术平均数(arithmetic mean)
算术平均数是指资料中各观测值的总和除以观测值个数所得的商,简称平均数或均数,记为
。
2、中位数(median)
中位数是指将数据按大小顺序排列起来,形成一个数列,居于数列中间位置的那个数据。中位数用Me表示。
从中位数的定义可知,所研究的数据中有一半小于中位数,一半大于中位数。中位数的作用与算术平均数相近,也是作为所研究数据的代表值。在一个等差数列或一个正态分布数列中,中位数就等于算术平均数。
在数列中出现了极端变量值的情况下,用中位数作为代表值要比用算术平均数更好,因为中位数不受极端变量值的影响;如果研究目的就是为了反映中间水平,当然也应该用中位数。在统计数据的处理和分析时,可结合使用中位数。
3、众数(mode)
众数是指一组数据中出现次数最多的那个数据,一组数据可以有多个众数,也可以没有众数。
4、几何平均数(geometric mean)
几何平均数是n个变量值连乘积的n次方根。
几何平均数多用于计算平均比率和平均速度。如:平均利率、平均发展速度、平均合格率等。
5、调和平均数(harmonic mean)
调和平均数又称倒数平均数,是变量倒数的算术平均数的倒数。
相关条目
- 绝对数
- 相对数
参考文献
- ↑ 陈珍珍,罗乐勤.统计学〔M〕.厦门:厦门大学出版社,2002.4~5
免责声明:本内容来源于第三方作者授权、网友推荐或互联网整理,旨在为广大用户提供学习与参考之用。所有文本和图片版权归原创网站或作者本人所有,其观点并不代表本站立场。如有任何版权侵犯或转载不当之情况,请您通过400-62-96871或关注我们的公众号与我们取得联系,我们将尽快进行相关处理与修改。感谢您的理解与支持!







请先 登录后发表评论 ~