平均指标指数
什么是平均指标指数
平均指标指数是同一经济现象两个不同时期条件下数量的平均指标值对比计算的相对数。它说明两个时期总平均水平变动的方向和程度。
平均指标指数,不是两个总量指标对比,而是两个总量指标的平均值对比。它适应于某些情况下,不便用总量指标对比计算的经济现象的对比分析。
平均指标指数的编制方法
平均指标指数,一般有可变构成指数、固定构成指数、结构影响指数。编制时,应先以平均指标的计算公式为依据。由于总平均水平(
)的变动受各组水平(X)的变动和各组结构比重(
)的变动的影响,因此平均指标可以分解为平均水平和比重两个因素。其中(
)表示报告期某一经济量的平均指标; 表示基期同一经济量的平均指标。
即:
据此可以依据指数体系采用平均指标两因素分析法,分析这两个因素对平均指标变动的影响方向和程度。
平均指标指数间的联系式是:可变构成指数=固定构成指数×结构影响指数
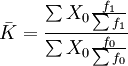
2、固定构成指数
固定构成指数是以各组水平变动为基础,采用各组结构比重为权数加权平均计算的相对数。它说明总体内部各组水平变动的情况。计算中将各组在总体内部的结构给予固定,所以又称固定结构指数。其计算公式是:
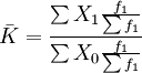
3、结构影响指数
结构影响指数是以总体内部各组结构变动为基础,采用各组水平为权数加权平均计算的相对数。它说明总体内部各组结构变动的情况,所以又称为结构变动影响指数。其计算公式是:
免责声明:本内容来源于第三方作者授权、网友推荐或互联网整理,旨在为广大用户提供学习与参考之用。所有文本和图片版权归原创网站或作者本人所有,其观点并不代表本站立场。如有任何版权侵犯或转载不当之情况,请您通过400-62-96871或关注我们的公众号与我们取得联系,我们将尽快进行相关处理与修改。感谢您的理解与支持!







请先 登录后发表评论 ~