偏差
偏差(Deviation)
什么是偏差
偏差又称为表观误差,是指个别测定值与测定的平均值之差,它可以用来衡量测定结果的精密度高低[1]。在统计学中,偏差可以用于两个不同的概念,即有偏采样与有偏估计。一个有偏采样是对总样本集非平等采样,而一个有偏估计则是指高估或低估要估计的量。
偏差不一定有害。尽管一个有偏采样会难以分析或引起不准确甚至错误的推断,但是有偏估计在某些情况下也有一些好的特性,例如较小的方差。
偏差的分类
偏差分为绝对偏差和相对偏差、标准偏差和相对标准偏差来表示。
1、绝对偏差:是指某一次测量值与平均值的差异。
2、相对偏差:是指某一次测量的绝对偏差占平均值的百分比。
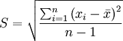
3、标准偏差:是指统计结果在某一个时段内误差上下波动的幅度。
4、平均偏差:是指单项测定值与平均值的偏差(取绝对值)之和,除以测定次数。
5、相对标准偏差:是指标准偏差占平均值的百分率。平均偏差和相对平均偏差都是正值。
偏差与精密度
精密度是指一样品多次平行测定结果之间的符合程度,用偏差表示。偏差越小,说明测定结果精密度越高。
偏差与误差[2]
误差是测量值与真值之间的差值。用误差衡量测量结果的准确度,用偏差衡量测量结果的精密度;误差是以真实值为标准,偏差是以多次测量结果的平均值为标准。
误差与偏差的含义不同,必须加以区别。但是由于在一般情况下,真实值是不知道的(测量的目的就是为了测得真实值),因此处理实际问题时常常在尽量减小系统误差的前提下,把多次平行测量值当作真实值,把偏差当作误差。
偏差的实例[2]
例:分析铁矿石中铁的质量分数,得到如下数据:37.45,37.20,37.50,37.30,37.25(%),计算测结果的平均值、平均偏差、相对平均偏差、标准偏差。
解:平均值:
各次测量的偏差分别是:0.11,-0.14,0.16,-0.04,-0.09
平均偏差:
相对平均偏差:
标准偏差:
- =0.13%
相对标准偏差:RSD=(0.13/37.34)×100%=0.4%
参考文献
- ↑ 南京大学编写组.《无机及分析化学》[M].第7章 酸碱滴定
- ↑ 2.0 2.1 中山大学化学与化学工程学院.分析化学专题一:误差与偏差
免责声明:本内容来源于第三方作者授权、网友推荐或互联网整理,旨在为广大用户提供学习与参考之用。所有文本和图片版权归原创网站或作者本人所有,其观点并不代表本站立场。如有任何版权侵犯或转载不当之情况,请您通过400-62-96871或关注我们的公众号与我们取得联系,我们将尽快进行相关处理与修改。感谢您的理解与支持!







请先 登录后发表评论 ~