人口统计
人口统计(demographic statistics)
什么是人口统计[1]
人口统计是指搜集、整理、分析有关人口现象数量资料的整个工作过程。
人口统计的任务[2]
(一)搞好经常性人口调查和人口普查,准确、及时、全面、系统地提供有关人口情况的统计数据;
(二)对国家人口政策和计划生育目标的执行情况进行统计监测;
(三)对人口及其与社会经济发展的关系进行分析,研究我国人口变化的特征和规律;
(四)对人口发展进行统计预测,为国家制定有关政策提供依据。
人口统计的主要内容[2]
(一)人口统计调查指标
1.与户主关系:指被调查人与本户户主的关系。包括户主、配偶、子女、父母、岳父母或公婆、祖父母、媳婿、孙子女、兄弟姐妹、其他等9个类别。
2.出生年月/年龄:指被调查人的出生年、月,按公历统计。周岁从出生年月日算起,到标准时间为止。不满一周岁的按“0”岁统计。
3.出生地:指被调查人出生时其母亲的常住地。
4.户口登记状况:指被调查人的常住户口登记状况和户口登记地。
5.是否识字:指被调查人是否达到国务院规定的脱盲标准(城市居民和乡、镇企业职工识字2000个,乡村居民识字1500个)。
6.受教育程度:被调查人接受教育的最高学历。通过自学或成人学历教育经国家统一考试合格的,可分别归入相应的受教育程度。具体包括未上过学、扫盲班、小学、初中、高中、中专、大学专科、大学本科、研究生等9个类别。
7.婚姻状况:指被调查人在调查时的实际婚姻状况。包括未婚、初婚有配偶、再婚有配偶、离婚、丧偶等5种类型。
8.初婚年月:指被调查人第一次结婚的年月。再婚的人,要按第一次结婚时的年月统计。
9.生育子女数:指被调查人(15至50周岁妇女)截止到调查时间,生育子女数和存活子女数。
10.迁移时间:指被调查人迁移至常住地的时间。
11.迁移原因:指引发被调查人迁移的主要原因。包括务工经商、工作调动、分配录用、学习培训、拆迁搬家、婚姻迁入、随迁家属、投亲靠友、其他等9个方面原因。
12.是否有工作:指被调查人在调查时间前一周,是否从事过不少于一小时有收入的社会劳动。有收入,指在该周内曾经得到或能够得到工资、利润或家庭收益等,包括现金和实物收入。
13.工作时间:指被调查人在调查时间前一周,从事有收入社会劳动的日历天数。每天不论工作几小时,只要多于一小时,就计作一天,最多为七天。
14.行业:指被调查人所属产业活动单位的生产经营活动或其他社会经济活动隶属《国民经济行业分类》所列示的具体类别。
15.职业:指被调查人从事社会劳动的工作种类。
16.未工作者状况:指未工作的被调查人的具体状况。包括在校学生、料理家务、离退休、丧失工作能力、从未工作正在找工作、失去工作正在找工作、其他等7种类型。
17.未工作者主要生活来源:指未工作的被调查人维持生活的主要来源。包括退休金、领取基本生活费、家庭其他成员供养、财产性收入、保险、其他等6个方面。
18.死亡时间:指死亡人口死亡时的月份和死亡时的年龄。
(二)人口统计住户调查指标
1.户别:指被调查户所属的住户类别。分家庭户和集体户2种类型。
2.本户人数:指被调查户中符合调查要求的总人口数及男、女人数。
3.本户户籍人口:指被调查户中具有本户户籍的总人口数及男、女人数。
4.本户户籍人口中外出不满半年人数:指被调查户中具有本户户籍的人口中,调查时未居住在本乡、镇、街道,且离开本乡、镇、街道不满半年的总人数及男、女人数。
6.本户户籍人口中外出半年以上人数:指被调查户中具有本户户籍的人口中,调查时未居住在本乡、镇、街道,且离开本乡、镇、街道半年以上的总人数及男、女人数。
7.本户住房间数:指被调查户除厨房、厕所以外的所有住房自然间数(包括扩建的房间)。合住同一所住房的,在填写住房间数时,填写其独立使用的房间数。兼作生产经营用房的房间也应计算在住房间数内,只作为生产经营用房的房间不计算在住房间数内。
8.本户住房建筑面积:指被调查户住房的建筑面积,按住房的外墙计算。
9.住房用途:指被调查户住房的实际用途。分为生活用房、兼作生产经营用房两种。建筑层数指被调查户住房建筑结构的层数。分为平房、6层以下楼房、7层以上楼房等3种类型。
10.住宅外墙墙体材料:指被调查户住房外墙墙体建筑的主要材料。分钢筋混凝土,砖石,木竹草和其他等4种类型。
11.住房内有无厨房:指被调查户住房是否配套建筑专门的厨房。厨房指专供做饭使用的房屋,不论是否装有上下水道及固定灶具,均按厨房统计。分本户独立使用、本户与其他合用和无三种情况。
12.主要炊事燃料:指被调查户日常炊事采用的主要燃料。分燃气、电、煤炭、柴草及其他五种类别。如果本户用于炊事的燃料有两种以上,按最主要的一种统计。
13.是否饮用自来水:指被调查户的日常饮用水是否是经过公用设施净化处理的管道输送水。在自家院子里打井取水不能算作有自来水。
14.住房内有无洗澡设施:指被调查户住房内是否安装有固定浴缸(浴盆)或淋浴龙头等并能使用的洗浴设施。具体包括统一供热水、家庭自装热水器、其他、无洗浴设施等4种情况。
15.住房内有无厕所指:被调查户住房内是否配套建筑有正式厕所,包括抽水式厕所和其他形式厕所,但露天的简易厕所不作为厕所统计。具体分为独立使用抽水式、邻居合用抽水式、独立使用其他式样、邻居合用其他式样和无厕所等五种类别。
16.住房来源:指被调查户取得住房的具体方式。分为自建住房、购买商品房、购买经济适用房、购买原公有住房、租用公有住房、租用商品房、其他等9种情况。
17.购建住房费用:指属于自建房屋户和购房户的被调查户在建房或购房时,实际所花费用。分1万元以下、1~2万元、2—3万元、3~5万元、5~10万元、10~20万元、20~30万元、30~50万元和50万元以上等9种情况。
18.月租房费用:指属于租房户的被调查户每月实际交纳的房租金额。分20元以下、20~50元、50~100元、100~200元、200~500元、500~1000元、1000~1500元、1500~2000元和2000元以上等九个等次。
(三)人口统计综合汇总计算指标
1.人口总数:是在一定时间、区域、口径范围内的全部人口数。如我国第五次人口普查的人口数是指:2000年11月1日0时,在中国境内居住,具有中华人民共和国国籍的生存者人数。
2.平均人口数:是反映一定时期人口平均水平的指标。平均人口数是把每天(或每月、每季)的人数相加,除以日历日(月、季)数求得。在人口变化均匀的前提下,还可以用年初人数和年末人数的算术平均数,或用年中人口数代替年平均人口数。
3.常住人口:是指居住本地时间超过半年以上的人口。包括居住本地暂时外出的人口,不包括外地人在本地暂时居住的人口。
4.现有人口:是指在一定时点上的住于该地域范围内的全部人口。包括外来暂住人口,不包括本地暂时外出的人口。
5.人口自然增长率:是指一定时期人口自然增加数与当期平均人口数之比,一般用“‰”表示。人口自然增加数是当期的出生人口减去死亡人口的净额。
6.人口年发展速度:即年末、年初人口数之比。
7.人口年平均发展速度:即各年人口发展速度的几何平均数。
8.人口年平均增长率:即人口年平均发展速度减去1。
9.平均年龄:是指一定人口集团年龄的平均数。它能反映人口年龄构成的一般状况。平均年龄小,标志着低龄人口在总人口中占的比例大;平均年龄大,标志着高龄人口在总人口中占的比例大。平均年龄的计算公式为:
平均年龄=∑(各年龄组的组中值×各年龄组人口数)/总人口
10.老年人口系数:是指在一定时点上,老年人口占总人口的比重,它是表明人口年龄构成的相对指标。一般用百分率表示。计算公式为:
老年人口系数=老年人口数/总人口数×100%
11.少年儿童系数:是指在一定时点上,少年儿童人口占总人口的比重,它是表明人口年龄构成的相对指标。一般用百分率表示。计算公式为:
少年儿童系数=少年儿童人口数/总人口数×100%
12.负担系数:是指被抚养人口与15~64岁人口的比例。可分为总负担系数、负担老年系数、负担少年系数。总负担系数是指全部被抚养人口与15~64岁人口的比例;负担老年系数是指老年人口与15~64岁人口的比例;负担少年系数是指少年儿童人口与15~64岁人口的比例。
13.人口的性别构成:是以总人口数为分母,计算男、女各占百分比。
14.人口的性别比例:是以女性人数为100,计算男性与女性的比例,表示每100名女性所对应的男性人数。性比例是最常用到的指标。人口性别指标还可按不同标志分组计算,如计算分年龄、民族、城乡、地区的性比例指标。
15.人口的民族构成:即汉族或各少数民族各占总人口的比重。
16.人口的文化教育程度构成:即具有各级文化程度的人口占总人口的比重。
17:成人文盲率:是指15岁及15岁以上文盲和半文盲人口占15岁及15岁以上人口的比重。
18.总迁移率:是迁移的总人数占人口总数的千分比。计算公式为:
总迁移率=(一定时期的迁入人口+迁出人口)/该时期的平均人口×1000‰
19.净迁移率:一个地区在一定时间内迁入人口数与迁出人口数相抵后的差额与总人口数的千分比。计算公式为:
净迁移率=一定时期的迁入迁出人口差额/该时期的平均人口×1000‰
20.人口的城乡分布:即市镇人口和乡村人口占总人口的比重。计算公式为:
市镇人口比重=市镇人口/总人口×100%
乡村人口比重=乡村人口/总人口×100%
21.人口密度:是用一定时期、一定地区的人口数与该地区面积之比,是用每平方公里的人口数来表示的。一个国家或地区的面积应包括领土范围全部陆地面积和水域面积,也包括无人居住地,如沙漠和森林。
22.出生人数:指在一年内出生之后有生命现象(如心脏跳动、有呼吸等)的全部活产婴孩数。包括了出生后有生命现象,但以后由于各种原因死亡的婴儿。
23.出生率:是一年内出生人数与年平均人口数之比,是表明出生强度的指标,用千分率表示。计算公式为:
出生率=年内出生人数/年平均人口数×1000‰
24.死亡人数:是指一定时期内(一般为一年),由于各种原因失去生命的人数之和,包括各年龄组、各种原因的死亡人数,但不包括死胎数。该指标对于分析人口的增长,研究社会经济条件和医疗卫生条件对人口寿命的影响有重要作用。
25.死亡率:是指一定时期内(一般为一年),死亡人数与年平均人口数之比,用千分率表示。它表明了一个国家在一定时期内人口死亡的强度。死亡率可以按死亡人口的年龄、性别等分别计算。死亡率的计算公式为:死亡率=年内死亡人数/年平均人口数×1000‰
26.婴儿死亡率:是指0~12个月的婴儿死亡数与0~12个月的婴儿数之比,一般用千分率表示。由于0~12个月的婴儿死亡数中,一部分是在本年度出生的,一部分是在上年度出生的,再加上在一年之中,人口出生密度差别很大,不便计算年平均数。所以在计算婴儿死亡率时,一般使用当年活产婴儿数或用2/3本年度出生婴儿数+1/3上年度出生婴儿数做分母。婴儿死亡率的计算公式为:
婴儿死亡率=0~12个月的婴儿死亡数/(2/3本年度出生婴儿数+1/3上年度出生婴儿数)×1000‰
27.结婚(离婚)率:是指一年内的结婚(离婚)人数和年平均人数之比,反映人口婚姻状况。通常用千分率表示。结婚人数既包括初婚人数,也包括再婚人数;离婚是指男女双方经过法律手续解除婚姻关系;年平均人数既包括结婚年龄的人口,也包括未成年的少年儿童人口。计算公式为:
结婚(离婚)率=一年内结婚(离婚)人数/年平均人数×1000‰
28.平均初婚年龄:是指一定时期内,初次结婚的男性(或女性)的平均年龄。计算公式为:
平均初婚年龄=期内初次结婚的男(女)性年龄总和/期内初次结婚的男(女)性人数
29.育龄妇女生育率:出生人数与育龄(15~49岁)妇女人数的比例。该指标对于认识生育规律,评价人口形势,预测人口未来非常重要。
人口统计的调查方法及组织方式[2]
(一)人口普查
人口普查在国务院和地方各级人民政府的领导下进行。国务院和省、自治区、直辖市人民政府,设区的市、自治州人民政府和地区行政公署,县、自治县、不设区的市和市辖区人民政府,设置人口普查领导小组及其办公室;乡、镇和街道办事处,设置人口普查办公室;村民委员会和居民委员会设置人口普查小组,分别负责人口普查的领导、组织和具体实施。各级人民政府的人口普查领导机构,对人口普查数据质量负责,督促人口普查办事机构对各阶段工作进行质量控制和验收。
人口普查采用按常住人口登记的原则。每个具有中华人民共和国国籍并在中华人民共和国境内常住的人必须在常住地进行登记。一个人只能在一个地方登记。人口普查以户为单位进行登记。户分为家庭户和集体户。
中国人民解放军现役军人、文职干部、编内职工及军队管理的离退休人员,由军队领导机关统一进行普查。在军队编内单位服务的编外职工以及家属、保姆等,居住在军队营院内的,由军队机关负责普查,普查表移交当地人民政府指定的人口普查机构;不在军队营院内居住的,由地方人口普查机构负责普查。在军队所属的福利性、保障性企业,子弟学校,幼儿园等单位居住的非现役军人、文职干部和编内职工,由其所在单位负责普查,普查表移交当地人民政府指定的人口普查机构;不在上述单位居住的,由地方人口普查机构负责普查。
中国人民武装警察部队,由驻在地的县、市公安机关进行普查,普查表移交县、市人口普查办公室。
驻外使、领馆人员,各驻外单位人员以及派往国外的专家、职工、劳务人员、留学生(包括公费和自费)、实习生、进修人员等,由其出国前居住的家庭户或者集体户申报登记。
依法服刑、被劳教的人,由当地公安机关和监狱、劳教机关进行普查,普查表移交县、市人口普查办公室。
人口普查表分为普查表短表和普查表长表两种形式。普查表长表根据国家规定的办法,抽出百分之十的户填报;普查表短表由其余的户填报。
人口普查登记前,普查员、普查指导员应当对调查小区的人口状况进行摸底工作,明确普查登记的职责范围、绘制调查小区地图、编制调查小区各户户主姓名底册。公安机关按照《中华人民共和国户口登记条例》及国家有关户口管理的其他规定,进行户口整顿。户口整顿应当查清常住人口、暂住人口和流动人口数量,有关资料提交乡、镇、街道人口普查办公室。
人口普查的登记工作,采用普查员人户查点询问、当场填报的方式进行,普查员应当按照普查表列出的项目逐户逐人询问清楚,逐项进行填写,做到不重不漏、准确无误。每调查完一户,应当将填写的内容向本户申报人当面宣读,进行核对。
复查工作完成后,全国抽取千分之零点一五的人口进行事后质量抽查。事后质量抽查由国务院人口普查办公室统一组织进行。抽查人员不得在原来参加普查的普查区进行质量抽查工作。
(二)人口抽样调查方法及组织方式
1.人口抽样调查对象及登记原则
人口变动情况抽样调查,采用按常住人口登记的原则,既包括城镇人口,也包括农村人口。以户为单位填报,既调查家庭户,也调查集体户。应在本调查小区登记的人是:
(1)住本调查小区,户口在本乡、镇、街道。
(2)住本调查小区半年以上,户口在外乡、镇、街道。
(3)住本调查小区不满半年,离开户口登记地半年以上。
(4)住本调查小区,户口待定。
2.抽样方法
以全国为总体,省级单位为次总体,采用分层、多阶段、整群概率比例抽样方法,全国约抽取120万人。各省、自治区、直辖市参照国家抽样基础方案,具体设计本省(自治区、直辖市)抽样方案,按照国家分配的样本量抽取样本单位。
3.调查的组织
(1)在当地政府的领导下,以统计部门为主组织实施,公安、计划生育等各有关部门应密切合作,并在基层组织的协助下,派人到抽中的调查小区,进行入户调查。
(2)调查员必须提前入户进行摸底,重点查询出生、死亡人口和怀孕待产妇女的情况,摸底工作一定不能走过场。
(3)到基层检查指导调查工作的人员,必须深入到村和户,采取议查和个别访问的方法,重点核查出生和死亡人口。
(4)调查登记完毕后,要认真进行复查,主要采取议查和个别访问的方法,对以下出生情况进行重点核查:
—出生后存活不久即死亡的婴儿是否有漏登现象;
—新生婴儿的出生时间是否有前移或错后的现象;
—超计划生育的出生人口是否有漏登现象;
—是否有到外地生小孩或以其他方式隐瞒出生人口的现象。
(5)调查资料要以调查小区为单位(指最终样本单位),加上封面装订成册,由调查员直接报县统计局,不再经过村、乡两级。(6)调查数据要按规定的时间和手工快速汇总表的要求,由县级汇总上报。
4.事后质量抽查
(1)抽查规模:5000万人以上的省份抽查四个调查小区(其中三个为农村小区,一个为城市小区);5000万人以下的省份抽查三个调查小区(其中两个为农村小区,一个为城市小区)。
(2)抽查工作人员:由省级派有调查经验的工作人员直接人点进行抽查。
(3)抽查项目:姓名、性别、户口状况和性质、出生和死亡人口,共五个指标。
(4)抽查结果表:事后质量抽查在完成重新入户登记后,应立即与原调查登记表的同类项目进行核对过录,根据调查结果填写事后质量抽查结果表。各省事后质量抽查结果表与手工快速汇总表同时上报国家统计局。
人口统计的应用[3]
1.国民生命表
人口统计数据的一个重要应用是编制国民生命表。国民生命表以人口普查数据为基础,反映一个国家某一段时间人口生存状况的数学模型。
编制国民生命表的基本数据来自于:
(1)通过人口普查取得的按年龄分布的人口数。
(2)通过人口动态统计取得的各年龄死亡人数。
(3)通过出生登记取得的每年出生人数。
国民生命表分完全生命表和简略生命表。完全生命表按每一岁分组编制,反映的是生存组逐岁变动的情况;简略生命表则按每年龄组(通常每5岁或每10岁为一组)来反映生命过程。简略生命表有的是为使用方便由完全生命表演化而来,有的是根据不完全的或比较粗略的人口统计资料编制而成。
形式上,无论是完全生命表还是简略生命表,都与保险公司经验生命表一样,含有lx,tdx,tqx,tLx,Tx,ex项,而且只需估计tqx就得到其他表值tqx的估计来自于人口统计资料,也就是死亡率和特定年龄死亡率。即

它的分母是年中人口或平均人口,所以又称为中心死率。
国民生命表的构造就是从中心死率开始的。中心死率总是有误差或缺乏光滑性,需进一步调整或修匀,利用修匀后的mx估计qx的最简单的做法是利用死亡均匀假设
或 
在这种方法下,由于人们是在一年中不同的时刻改变年龄进入下一个年龄组,所以中心死率的计算,由于没有考虑不同年龄数据不一的情况,而变得十分笼统,所以在实际操作中,为减少误差,具体采取不同做法来估计qx。
2.人口统计与社会保障
目前,大部分国家对退休保障都采用政府、雇主、个人三者共同承担的统筹方法,而在分摊额的计算上采用现收现付制和完全精算制两种不同的制度。
现收现付制下,所有退休人员当年要支付的退休金由当年所有在职劳动者分摊。这种制度没有退休基金存在,计划组织者或赞助者一旦消失或破产,计划立即结束,参与者将得不到任何利益,因此这种制度组织者通常只能是政府。这种制度的优点是人口结构非老年化时,由于受益者远小于在职捐纳者,所以每位在职劳动者分摊额较少。另外,现收现付制使政府无须费力管理收上来的捐纳金。
在完全精算制度下,每一个参与者拥有一个专属账户,逐年累计退休基金,但它的价值依赖于资产管理成效,所以,投资效果对其基金净值影响很大,但在这种方式下,人口统计学对基金净值的增长或减少影响不大。
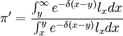
【例1】人口增长率为ri对y岁及y岁以上的居民每年提供退休金津贴,采用随收随付计划,年捐纳π由x岁到y岁人支付,求π,并将其与完全精算制度下保费进行比较,假定利力恒为δ。
解 稳定人口中,t时刻y岁以上人口为:




比较π与π'发现,当利力与人口内在增长率相等时,现收现付计划与完全精算计划等价。
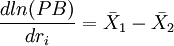
【例2】 假设定义养老负担(PB)为y岁以上人口与x岁到y岁人口的比率,在稳定人口模型下,写出养老负担表达式PB,并证明:
,这里
是时刻t,x岁到y岁人口的平均年龄;
是时刻t,y岁及以上人口的平均年龄。

![\frac{dln(PB)}{dr_i}=\frac{d[ln \int_y^{\infty} e^{-r_i x_s(x)}dx]}{dr_i}-\frac{d[ln \int_x^y e^{-r_i x_s(x)}dx]}{dr_i}](https://static.ltdcdn.com/uploadfilev2/remote/0/16/222/2023-08/16916674847299.png)

参考文献
免责声明:本内容来源于第三方作者授权、网友推荐或互联网整理,旨在为广大用户提供学习与参考之用。所有文本和图片版权归原创网站或作者本人所有,其观点并不代表本站立场。如有任何版权侵犯或转载不当之情况,请您通过400-62-96871或关注我们的公众号与我们取得联系,我们将尽快进行相关处理与修改。感谢您的理解与支持!







请先 登录后发表评论 ~