四分相关
四分相关(tetrachoric correlation)
什么是四分相关
四分相关适用于计算两个变量都是连续变量,且每一个变量的变化方向都被人为地分为两种类型的测量数据之间的相关。
四分相关计算方法 [1]
通常,计算四分相关的资料可以整理成四(方)格表,四格表是由每个因素的两项分类做成的2×2表,譬如:
计算四格相关系数最常用的方法是皮尔逊余弦π法(近似计算法),其计算公从式为:
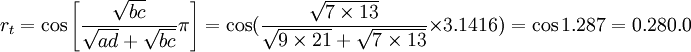
式中a、b、c、d的意义如上表所示,π为圆周率。
例:50名学生跳高与跳远成绩(达标与未达标)如下表所示,试求跳高与跳远成绩的相关情况。
解:本题的资料已经被列成四格表的形式,所以可以计算四分相关系数。根据公式,有:
参考文献
- ↑ 徐文彬.教育统计学:思想、方法与应用[M].南京师范大学出版社,2007.3.
免责声明:本内容来源于第三方作者授权、网友推荐或互联网整理,旨在为广大用户提供学习与参考之用。所有文本和图片版权归原创网站或作者本人所有,其观点并不代表本站立场。如有任何版权侵犯或转载不当之情况,请您通过400-62-96871或关注我们的公众号与我们取得联系,我们将尽快进行相关处理与修改。感谢您的理解与支持!







请先 登录后发表评论 ~