相对偏差
相对偏差(Relative Deviation)
什么是相对偏差
相对偏差是指某一次测量的绝对偏差占平均值的百分比。相对偏差只能用来衡量单项测定结果对平均值的偏离程度。
相对偏差的公式
其公式为:
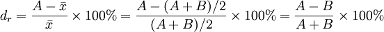
若两份平行操作,设A、B为两次测得值,则其相对偏差如下式计算:
其中,dr表示测定结果的相对偏差;di表示测定结果的绝对偏差;
表示n次测定结果的平均值。
相关条目
- 偏差
- 绝对偏差
- 标准偏差
- 平均偏差
- 相对标准偏差
免责声明:本内容来源于第三方作者授权、网友推荐或互联网整理,旨在为广大用户提供学习与参考之用。所有文本和图片版权归原创网站或作者本人所有,其观点并不代表本站立场。如有任何版权侵犯或转载不当之情况,请您通过400-62-96871或关注我们的公众号与我们取得联系,我们将尽快进行相关处理与修改。感谢您的理解与支持!







请先 登录后发表评论 ~