平均偏差
平均偏差(Average Deviation)
什么是平均偏差
平均偏差是指单项测定值与平均值的偏差(取绝对值)之和,除以测定次数。它是代表一组测量值中任意数值的偏差。所以平均偏差不计正负。
平均偏差是数列中各项数值与其算术平均数的离差绝对值的算术平均数。平均偏差是用来测定数列中各项数值对其平均数离势程度的一种尺度。平均偏差可分为简单平均偏差和加权平均偏差。
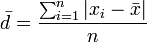
平均偏差的公式
平均偏差表示多次测量的总体偏离程度,即:
其中,
表示平均偏差;xi表示单项测定结果;n表示测量次数;
表示n次测量结果的平均值;
表示单项测定结果与平均值的绝对偏差。
例:分析铁矿石中铁的质量分数,得到如下数据:37.45,37.20,37.50,37.30,37.25(%),计算测结果的平均值、平均偏差。
解:平均值:
各次测量的偏差分别是:0.11,-0.14,-0.04,0.16,-0.19
平均偏差:
相关条目
- 偏差
- 绝对偏差
- 标准偏差
- 相对偏差
- 相对标准偏差
免责声明:本内容来源于第三方作者授权、网友推荐或互联网整理,旨在为广大用户提供学习与参考之用。所有文本和图片版权归原创网站或作者本人所有,其观点并不代表本站立场。如有任何版权侵犯或转载不当之情况,请您通过400-62-96871或关注我们的公众号与我们取得联系,我们将尽快进行相关处理与修改。感谢您的理解与支持!







请先 登录后发表评论 ~