样本方差
什么是样本方差
样本方差是指总体各单位变量值与其算术平均数的离差平方的平均数。
样本方差的内容
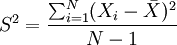
假设是一个样本,则样本方差的计算公式为:
其中是样本均值。例如,一样本取值为3,4,4,5,4,则样本均值=
, 样本方差=S2=((3 − 4)2 + (4 − 4)2 + (4 − 4)2 + (5 − 4)2 + (4 − 4)2)/(5-1)=0.5。样本方差是常用的统计量之一,是描述一组数据变异程度或分散程度大小的指标。
S称为样本标准差,即方差的算术平方根。如在上例中,S=0.7071。称×100%为样本变异系数。由于S与X都是从同一个样本资料中求得,两者的单位相同,故变异系数为一纯数。当两种样本资料所用的单位不同时,只要计算出变异系数,就可以比较它们的变异程度。
免责声明:本内容来源于第三方作者授权、网友推荐或互联网整理,旨在为广大用户提供学习与参考之用。所有文本和图片版权归原创网站或作者本人所有,其观点并不代表本站立场。如有任何版权侵犯或转载不当之情况,请您通过400-62-96871或关注我们的公众号与我们取得联系,我们将尽快进行相关处理与修改。感谢您的理解与支持!







请先 登录后发表评论 ~