综合指数
综合指数(Composite index)
什么是综合指数
综合指数是总指数的一种形式。编制综合指数的目的在于测定由不同度量单位的许多商品或产品所组成的复杂现象总体数量方面的总动态。综合指数包括数量指标指数和质量指标指数。
综合指数的编制
综合指数编制的特点是:
(1)确定与指数化指标相联系的同度量因素;
(2)对复杂现象总体所包括两个因素,把其中一个因素----同度量因素的时期加以固定,以便消除其变化,来测定我们所要研究的那个因素即指数化指标的变动。
注意要点:
编制数量指标综合指数时,指数化指标是数量指标,以基期的质量指标作为同度量因素;
编制质量指标综合数时,指数化指标是质量指标,以计算期的数量指标为同度量因素。
综合指数的特点及同度量因素的确定
综合指数的编制方法是先综合后对比。即解决不同度量单位的问题,使得不能直接相加的现象变得可以相加,然后再进行对比分析。
两个特点:
第一,编制综合指数要从现象之间的联系中,确定与所要研究的现象有关联的同度量因素;
第二,将引进的同度量因素固定,以测定指数化因素的变动,从而解决对比问题。
综合指数的计算与分析
(1)数量指标指数
A. 以基期价格(P0)为同度量因素的销售量总指数
也称作 拉斯贝尔数量指数公式
B. 以报告期价格(P1)为同度量因素的销售量总指数
也称作 派许数量指数公式
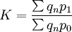
C. 以特定期价格(Pn)为同度量因素的销售量总指数
此公式的计算结果说明复杂现象总体数量指标综合变动的方向和程度
此差额说明由于数量指标的变动对价值量指标影响的绝对额。
(2)质量指标指数
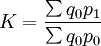
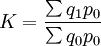
A. 以基期销售量(q0)为同度量因素的物价总指数
也称作 拉斯贝尔物价指数公式
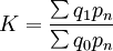
B. 以报告期销售量(q1)为同度量因素的物价总指数
也称作 派许物价指数公式
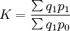
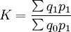
C. 以特定期销售量(qn)为同度量因素的物价总指数
此公式的计算结果说明复杂现象总体质量指标综合变动的方向和程度。
此差额说明由于质量指标的变动对价值量指标影响的绝对额。
相关条目
- 股票综合指数
免责声明:本内容来源于第三方作者授权、网友推荐或互联网整理,旨在为广大用户提供学习与参考之用。所有文本和图片版权归原创网站或作者本人所有,其观点并不代表本站立场。如有任何版权侵犯或转载不当之情况,请您通过400-62-96871或关注我们的公众号与我们取得联系,我们将尽快进行相关处理与修改。感谢您的理解与支持!







请先 登录后发表评论 ~