组数
什么是组数
组数是指一群数据分组的数目,用k表示。
组数的取决因素
组数的多少直接取决于两个因素:一个是总体的全距,另一个是组距。
全距是总体中最大的标志值与最小的标志值之差。在等距分组的条件下,组数等于全距除以组距。在组距既定的条件下,全距大则组数多,全距小则组数少;在全距既定的条件下,组距大则组数少,组距小则组数多。
决定组数的多少,并无规则可言,必须凭借经验和所研究问题的性质作出判断。
组数的确定
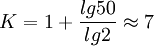
一组数据分多少组合适呢?一般与数据本身的特点及数据的多少有关。由于分组的目的之一是为了观察数据分布的特征,因此组数的多少应适中。如组数太少,数据的分布就会过于集中,组数太多,数据的分布就会过于分散,这都不便于观察数据分布的特征和规律。组数的确定应以能够显示数据的分布特征和规律为目的。在实际分组时,可以按斯特奇斯(Sturges)提出的经验公式来确定组数K:
其中n为数据的个数,对结果用四舍五入的办法取整数即为组数。例如,对前例的数据有:
,即应分为7组。当然,这只是一个经验公式,实际应用时,可根据数据的多少和特点及分析的要求,参考这一标准灵活确定组数。
免责声明:本内容来源于第三方作者授权、网友推荐或互联网整理,旨在为广大用户提供学习与参考之用。所有文本和图片版权归原创网站或作者本人所有,其观点并不代表本站立场。如有任何版权侵犯或转载不当之情况,请您通过400-62-96871或关注我们的公众号与我们取得联系,我们将尽快进行相关处理与修改。感谢您的理解与支持!







请先 登录后发表评论 ~