产业同构
什么是产业同构
产业同构也称产业趋同,是指经济发展过程中不同区域间的产业在组成类型、数量比例、空间分布、关联方式等方面的演进变化逐渐趋于一致,结构差异逐步缩小的现象。
产业同构的成因及其表现[1]
产业同构主要是指各种产业在各地区之间或在各部门之间存在着严重的雷同和趋同的情况。产业同构是产业结构畸形化的重要表现之一,如果探究产业同构畸形化的成因,可以追索到计划经济年代,那时由于“重工轻农”、“重重轻轻”,再加上所谓的“大小三线建设”等,已经使我国的产业结构形成很不合理状态。其中包括产业的同构。这一切都已成为过去。仅就口前在工业部门中严重存在的产业同构而言,公正点说,主要还是近20年来形成的。
80年代我国经济仍处于短缺状态,为了解决这种为人们所不能容忍的商品短缺问题,全国各地从上到下都在改革开放东风鼓舞下,为了尽快地增加产值,增多利润,增添税收,和迅速改变本地区的落后而貌,几乎都不太顾及条件地纷纷上马与改善人民生活息息相关的一些工业,如轻纺工业、食品工业、家用电器、交通运输业等,再加上当时还没有与国家产业政策相配套的全国各地区域性的分工协作政策,不顾左邻右舍,都一拥而上,不约而同地把大家都认可的同时也为当时所熟悉的产业作为本地区的投资和发展对象,因而产业同构就不可避免了。
到了90年代,我国经济处于加速工业化的升级阶段,在这一阶段上,加快发展重化工业,如汽车、石化以及微电子、建筑、建材等,又成为这个时代的“重头戏”。因为这些产业具有关联度高、经济效益好、附加值大的一些特点,无可非议,这些产业自然成了这个阶段上的新的经济增长点。正由于此,各地争先恐后纷纷上马这类产业。
近两年,即1997至1999年,由于政府调整政策力度逐步加大,关停并转了一批;同时又由于市场竞争的加剧,又淘汰了一批,情况有所好转。但无庸置疑,到目前为止,产业同构现象仍然严重。据不完全统计,我国现有固定资产近6万亿,因此在不必要的即多余的或重复的产业部门中大约2万亿,相当于1/3。从这个意义上说,不是我们没有钱,而是把钱花在不是地方的地方。产业同构总的特点是:企业的总量很多,但每个企业的“个头”很少,上不了规模,谈不上效益,形不成气候。
如果探究产业同构的起源,先了解上述的由历史所形成的似乎难以避免的原因还是不够的。还要看到,当时,各个地方政府的利益趋动和行政干预所起的作用,也不容忽视,改革开放以来,为了搞活地方经济,中央采取了一系列放权让利政策及其相应的措施,由此地方政府有了一定的对投资项口的选择权和资金的使用权。有了这些权力之后,在国家宏观调控体系尚不健全和不完备的情况下,这些地方政府为了本地区的利益,或出于“为官一任,造福一方”的考虑,总希望尽快出政绩和出好政绩,自然倾向于选择那些见效快、利润大、回收期短、增长速度快、能多增加地方财政收入的一些加工工业。再加上由于长时期受计划经济封闭之苦,市场经济不发达,因而见识短、信息不灵,对于什么是社会化大生产,什么是专业化分工和协作,什么是市场的供求关系,什么是区域比较优势等理论和认识问题,或知之甚少,或根本无知,因而就难以从全局出发,权衡利弊,发展一些能发挥本地区优势并有一定发展前途的产业,而更多想到的是如何使本地区的工业自成体系和填平补齐。
当然,国有企业改革滞后也是产业同构发生和发展的重要原因。如果在市场经济体制较为发达和完善的条件下,投资主体应当主要是企业而不是国家。如果企业成为投资主体,为了盈利,它势必要根据市场规律及其供求关系安排投资方向,确定投资重点,并通过产权市场,促进存量资产合理地流动,把资源配置到最需要的地方去。在我国经济发展现阶段上,由于改革滞后,国有企业本身还没有成为真正独立的投资主体,投资主体仍然是国家,国家的投资就不受市场的约束,完全按行政手段行事,政府需要什么就投资什么,需要多少就投资多少,对于投资后果又可不承担任何经济责任和法律责任。与此同时,由于改革滞后,我国还没有建立起健全的社会保障体系,为了社会的稳定,也未能全而推行破产制度,更不能实行全而跨地区、跨行业的并购和联合。
产业同构的后果[1]
对于我们这样一个原本十分贫穷和相当落后的国家来讲,在短短的时间内,有那么多的新兴产业在祖国大地上生根和发展,是了不起的成就,其速度之快也是惊人的。但是,必须注意到,产业同构所带来的后果也是不容忽视的。
- 1.产业同构使大量的生产能力放空和由此造成严重的资源浪费。
有翔实的资料表明,在全国900多种主要工业品生产能力中,有半数利用率在60%以下,最低的只有百分之几。这些年来,彩电、电冰箱、洗衣机的生产能力利用率只有30-500a;棉纺、手表、自行车、啤酒等行业大约有1/3的生产能力被闲置;发电设备、照相胶卷、电影胶片、日用铅制品、空调、复印机、农药、微波炉、录相机、内燃机、金属切削机床、油漆等生产能力只利用10-4000,如此等等,其浪费多么惊人!
- 2.产业同构使各地区都无法发挥自身的资源和地理环境之优势,相互之间也无法实现区域性的分工和相应的协作。
从实际情况看,在地区之间,从生产技术到产品,你有的我也有,我没有的你也没有,就是说要就大家都有,要就大家都没有,大家都同等地在低档次上运作,生产同种劣质产品;万事不求人,“大而全”、“中而全”、“小而全”的全能厂和全能企业比比皆是;即使上下游企业,也都各搞一套,各自为政,各行其是,搞自我延伸,自我服务体系。
- 3.由产业同构使可使用的资源分散投入,直接制约着企业技术装备水平的提高和产品高科技含量的升级。
从世界角度看,我国经济总量排在前几名,但竞争能力落在29位。从科技含量上看,R&D(研究和开发)占GDP的比重为0.500,关国、日本、德国为2%以上,有的达到30a。我们把许多钱都抛撒在乱铺滩子、重复建设上,影响了对高科技产业的投入。我们的科研成果也很多,真正转化为生产能力并生产出高科技产品的并不多。发达国家达到5000,我国只有50ao
- 4.产业同构同样也严重制约着企业规模的扩大。
在当今世界,企业规模很重要,缺乏规模优势,产生了不规模效益,因而增强不了竞争力。就以汽车行业而言:到1997年底,世界前三家的汽车产量分别为877万辆,694万辆,484万辆;同年我国前三名的生产厂家生产的汽车,分别为26万辆、23万辆、巧万辆、130多家汽车厂总产量才160万辆,还不及通用一家生产的1/5。
- 5.产业同构直接影响国民经济总量均衡,破坏国民经济的正常运行。
国民经济运行,既要求总量均衡,又要求结构均衡。总量均衡(社会总供给和社会总需求的均衡)是以结构均衡为基本前提的。没有结构的均衡就根本谈不上总量的均衡。总量不均衡,不管是求大于供,还是供大于求,国民经济都无法有序的、正常地运行。1992年,由于国民经济结构失衡,导致通货膨胀和物价上涨,形势迫使我们不得不来一次收缩和整顿。现在形势又转向它的反而,通货趋紧,物价低落,产品程度不同的过剩。如果我们对口前已经存在的和还在发展的结构性的不均衡,不能很好和很快地调整,也许不要多久,又会使我们经济进一步陷入更难克服的境地之中。
- 6.产业同构破坏了全国统一的大市场的形成和发展。
在市场经济条件下,社会的生产、交换、分配和消费都离不开市场,统一的、开放的和全国性的大市场是实现资源合理流动、优化组合、提高利用效率的不可少的重要条件。但是,产业同构直接影响甚至破坏统一的、开放的和全国性的大市场的形成和发展。原因是,在产业同构条件下,各地政府和企业在自身利益趋动下,总想方设法保护本地的产业和产品,人为地限制商品按价值规律、供求规律在不同地区之间合理流动,划地为牢,大搞区域封锁,排挤外地产品流入,以此来肢解正在形成过程中的全国性的大市场体系。
- 7.产业同构会导致过度的竞争,打乱市场秩序,破坏社会生产力,阻碍社会生产发展。
在经济运行中,没有竞争不行,竞争过度也不好。竞争过度往往会造成同类行业或同类企业之间竞相压价,相互拼杀,致使许多企业陷入困境和绝境。以我国的自行车市场为例,据有关部门统计,由于前几年盲口投资和重复建设。我国自行车年产量已达4000万辆,可是年销售量只有2800万辆,供过于求,引起了自行车行业内部各企业之间的激烈竞争,结果使得分布在全国各地的52家较大的自行车生产厂家大部分亏损,日子都非常难过!类似自行车行业的其他行业如家电各行业也是如此。
产业同构的解决途径[1]
我国产业结构战略性调整基本思路和主要口标是:加强第一产业,提高第二产业,发展第三产业。产业结构调整的原则是:以市场为导向,使社会生产适应国内外市场需要的变化,依靠科技进步促进产业结构的优化,同时发挥各地的优势,推动区域经济既分工又协调地发展。
产业同构主要发生在第二产业即各类加工业中,对产业同构进行调整,必须按照上述要求并结合本身的特点妥善地进行,旨在提高第二产业内部的协调能力,促进第二产业良性循环,进而推动第一、第二、第三产业按照社会主义统一大市场运行的需要健康地发展。为此,必须做好以下工作。
- 第一,必须深化体制的改革,这是走出产业同构误区的根本。
首先是企业改革,这里讲的企业主要是指为满足市场需要而生产的企业,即市场化了的企业,必须加大对这些企业改革的力度,特别是加大对这些企业产权制度改革的力度,使企业真正成为自担风险、自我约束、自求发展、自动协调、讲求实效的投资主体。所谓企业投资主体,就是说企业有权决定投资方向、投资方式、投资范围、投资量度,也有权根据市场变化随时改变自己的投资方向、投资范围、投资量度。其次是市场改革。市场改革主要方向是要建立功能齐全的能够覆盖全国的大市场。其中除要素市场外,还包括产权市场。因为产业结构调整主要或较大部分要经过产权交易实现产权流动来实现。产权市场是产业结构调整的外部环境,缺了不行。实行产业结构调整,资本市场是万万不可少的,因为在调整中所需要的资金,大都来自资本市场,没有资本市场及有效的运作,调整也难以进行下去。再次是投资体制改革。我这里我所说的投资体制改革主要是指,在投资主体—企业已确定的情况下,如何建立一套完整的足以保证投资主体正当的投资权利和行为得以正确贯彻和实施的规章和制度,其中包括法律制度。
- 第二,必须充分发挥国家产业政策的作用,强化国家的宏观调控和管理。
科学的产业政策是国家的基本宏观的经济政策,为使国民经济正常地运作,必须大力和正确地予以贯彻和实施。国家的产业政策对不同的区域应当有不同的体现,以此来诱导全国各地,结合本身的特点,发展自己的优势产业,特别是名牌产品和名牌企业。同时,作为国家,居高临下,必须注意并妥善引志各地区之间的合理的分工和协作,使之形成重点突出、层次分明的经济网络。在国家的产业政策中,要严格制}卜区域之间、行业之间的保护主义,促进社会资源通过全国统一的、开放的大市场,跨地区、跨行业地合理流动,实现其在动态中的优化和组合。
- 第三,要把调整产业结构的重点放在对国有存量资产的调整上。
目前,我国国有工业企业从隶属关系看,大致分为四个层次:一是国务院几十个部委所属的企业,二是几十个省、市、自治区所属的企业,三是几百个地、市所属的企业,四是2000多个县、市所属的企业等。这四个层次所管属的企业大大小小加在一起有几十万家、财产有几万亿,这几十万家企业和几万亿财产在条块分割下,各有所属。其所属部门,虽然都不是最终所有者,但都具有权威性,有相当大的支配权,并对它们已经形成了相当雄厚的既得利益。这一既定的权利格局,使得国有资产难以跨地区、跨行业、跨部门的流动,从而实现不了它们之间的优化组合和保值增值的要求。为了冲破这一封闭的、僵化的局而,只有实现由生产经营为主向资产经营为主的这种带有根本性质的转变。通过资产经营,在企业之间进行实力较量,优胜劣汰。在这里强者对弱者可以通过资产的收购和兼并,使自己逐步甚至很快地发展和壮大起来,有的成为跨地区、跨行业、跨部门的大公司。在这个过程中,政府所能够做的和应当做的不是行政性的干预、保护和隔山观望,而只能是制定有关的和有效的政策和规章制度,以此来扶持、鼓励、引导绩优企业即名牌企业或大企业搞好在收购和兼并过程中及其以后的各项工作,必要时给以资金、人才等支持和帮助,进一步推进资产经营和资本运作的进行,把收购和兼并继续发展下去。
- 第四,为了顺利地实现产业结构的调整和改组,还必须在思想观念上来一个全而的和彻底的转变和更新。
其中重要的必须牢固地确立以下两种观念:一是大市场观念。在市场经济条件下,市场机制的作用越来越强,竞争也越来越激烈。如今,再盲口投资、盲口建设,只能作茧自缚,结果,必然以失败而告终。因此,任何投资者(包括企业和政府)都必须将有限的资本投在为社会也为市场所需要的产业和企业上。二是全局观念。这里讲的调整是全国范围内的调整,是有关国民经济的全局问题。因而在产业结构调整过程中,当地区的局部利益与国家的全局利益发生矛盾时,只要全局利益是合理的和合法的,局部利益应当服从全局利益,地方利益应当服从国家利益,这样产业结构调整才能顺利进行下去。这里值得重视的一个问题是,多年来中央为了实行产业结构有效的调整,制定了不少政策,但是,这些政策很难贯彻下去,令不行、禁不}卜,上有政策、下有对策,这几乎成为怪又不怪的广泛的社会现象!针对这种现状,我们不能不提出这样要求:要胸怀全国,以大局为重,在产业结构调整问题上必然遵纪守法。
最后还必须注意到,对于产业同构的调整,绝不是暂时性的、零散性的,枝节性的,而是长远性的、整体性的、根本性的,需要持之以恒,所以称之为战略性调整。从一定的意义说,调整也是改革,不过不是浅层次改革,而是更深层次的改革,要获得成效,需要下更大的力气和功夫。
产业同构的测度方法[2]
- 1.结构相似系数法
1979年,联合国工业发展组织(UNIDO)国际工业研究中心提出了结构相似系数,用该系数测定了各国的产业结构相似度,以此来衡量产业的同构程度。其表达式如下:
(1)
其中,Sij是i区域和j区域的结构相似系数,i和j是两个相比较的区域;Xik是i区域k产业占整个产业的比重,Xjk是j区域k产业占整个产业的比重。Sij的值在0和1之间变动。如果其值为0,表示两个相比较地区的产业结构完全不同;如果其值为1,说明两个地区间产业结构完全相同。也就是说,Sij的值越大,说明两个相比较地区间产业同构度愈大;反之,表明同构程度越低。
UNIDO(1979)的研究结果表明,对于那些实现了工业化的国家而言,制造业的产出存在着多样性,工业结构的相似性较高。而未实现工业化的国家,产业结构处于不断变动当中,彼此之间的结构相似性较低。目前国内外关于产业同构或产业结构趋同的研究中,定性研究的比较多,尤其在我国,在20世纪80年代末90年代初中期阶段,对产业同构问题的研究大多都采用定性的方法来判断产业同构的程度,并得出结论认为我国产业同构现象十分严重。20世纪90年代末期到现在,定量分析方法被我国一些学者用来测算产业同构程度,而且多数学者都是使用结构相似系数方法来测度产业同构度的。例如陈耀(1998)利用产业结构相似系数,测算了我国地区间产业同构度的高低及变化趋势,并得出结论:我国地区间产业的同构程度虽然比较高,但有向趋异方向发展的态势。周国富(2005)等人也利用结构相似系数对我国改革开放以来产业同构的演化轨迹进行了实证分析。研究结果表明,我国各省之间的产业同构表现为先强化、后弱化的趋势。
- 2.结构差异度指数法
联合国的有关专家(1981)在研究欧洲经济结构问题时,提出了一个衡量国家间产业结构差异度的指数,其表达式如下:
(2)
其中,Dij表示结构差异度指数,其余各参数的含义均与(1)相同。Dij的值介于0到1之间,当两个地区的产业结构完全相同时,其值为0;当两个地区的产业结构完全不相同时其值为1。其值越大表示地区间产业结构的差异程度也越大。
联合国有关专家利用该指数从劳动力投入和产出的角度分别计算了西欧各国制造业结构的变动,结果表明,在发展水平上差异越大的国家之间,产业结构的差异也越大,产业同构性也越低。虽然Sun G.Z和Ng Y.K(2000)对结构差异度指数测度方法的合理性从数学上给出了严格证明,但目前实际运用该方法测度产业同构的并不多,而使用最为广泛的是联合国工业发展组织提出的结构相似系数以及克鲁格曼提出的结构差异度指数。
- 3.Krugman结构差异度指数法
保罗·克鲁格曼(Paul Krugman)(1991)在研究地方化和贸易问题时,提出了计算地区间行业结构差异度的指数(也称为行业分工指数或产业专业化系数),这个指数目前被众多学者作为衡量地区间产业结构差异度的指数,其表达式如下:
(3)
其中KIij表示克鲁格曼提出的行业分工指数,其余各参数的含义均与(1)相同。这个指数的值介于0到2之间,如果区域i和区域j的产业结构完全相同时,也就是说,对所有的k,产值份额都是一样的,则这个指数值为0;当区域i和区域j的产业结构完全不相同时,这个指数值为2(因为每个地区所有产业的份额都被加总了);而且,其值越大表示地区间行业结构的差异也越大。
克鲁格曼同时指出,这个指数还可以大致衡量区域间行业分工的程度,而且值越大表示两地区分工程度越高,产业专业化程度也越高,由地区间分工而造成的产业结构的差异也愈大,产业同构度越小;而指数值越低,产业结构的差异度越小,两地区产业同构性就越强。克鲁格曼(1991)用这个指数计算了部分地区和国家的分工与专业化程度:对美国的4个地区和欧洲的4个大国相互进行比较,结果表明,欧洲国家之间的专业化程度弱于美国各地区之间的专业化程度;也就是说,美国各地区间的分工程度比欧洲国家间的分工程度大,其产业结构的差异度也比欧洲国家之间的大。
联合国有关专家提出的结构差异度指数与克鲁格曼的结构差异度指数之间存在着倍数关系,即KIij = 2Dij,可以说这两个指数之间其实并没有本质的差别。王志华等(2006)通过适当改造,将KIij转变成可以直接测度地区间制造业同构度的指数,并将其称之为“改进克鲁格曼指数”,表达式如下:
(4)
其中,MKIij表示改进克鲁格曼指数,其余各参数的含义均与(1)相同。并指出:这个指数除了可以测度地区间制造业的同构度外,还把地区间制造业的同构度与地区间制造业的分工度联系了起来,为近似考查地区间制造业同构与分工的关系提供了一条途径。
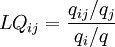
- 4.区位商法
区位商,也称为地方专业化指数,是测度产业集聚的指标之一,其表达式如下:
(5)
其中,LQij为j区域i产业的区位商或地方专业化指数,qij为j区域i产业的产值,qj为j区域全部产业总产值,qi为产业i的全国总产值,q为全国的所有产业总产值。如果LQij>1,表示j区域i产业部门的集中程度大于全国的平均水平,是j区域的专业化部门和产品输出部门;LQij值越大则该区域该产业部门的集中程度越高,该产业在全国的专业化程度就越高。
区位商法计算简单,所需数据不多,结果也直接明了,因此在研究产业集中或行业分工时被广泛采用,也被许多学者用来研究产业同构问题。经验结论是:区位商数值越大,地区产业的专业化程度越高,则产业的同构性就越低。不过需要说明的是区位商是个相对指标,只是反映了区域专业化的相对程度,而不能完全反映区域的实际专业化程度。区位商大于1的产业部门可能总体规模很小,这一产业部门的专门化产品在区内所占的比率将会非常小;或者是在实力较弱的区域,某些产业部门的区位商很高,但由于总体经济规模较小,该产业的总量规模有可能很小,所以在使用区位商这一方法时,还得考虑其他的方法加以佐证。在研究产业同构问题时,区位商方法通常都是与产业结构相似系数配合来使用。
- 5.Landesmann和Szekely的结构差异度指数法
Landesmann和Szekely(1995)提出了一个测度地区间产业结构差异度的指数,这种指数的计算类似于变异系数的计算方法,其表达式如下:
(6)
其中,LSSij表示Landesmann和Szekely提出的指数,其余各参数的含义均与(1)相同。这个指数的值也介于0到1之间,两个地区的制造业结构完全相同时,其值为0;当两个地区的制造业结构完全不相同时,这个指数值为1。其值越大表示地区间制造业结构的差异也愈大。他们俩人以该方法计算了东欧各国制造业的结构差异度指数,并考查了东欧各国制造业的结构和贸易的变动趋势。但是该测度方法的应用并不广泛,国内几乎没有人用此方法来测度产业同构。
- 6.结构重合度指数
Finger和Kreinin(1979)在研究国家间出口贸易问题时,提出了一个测度产品出口相似度的指数,其表达式如下:
(7)
其中,FKSij表示i国和j国的产品出口相似度指数;EPik表示i国出口到第三国的第k种产品占i国出口到第三国的全部产品的份额;EPjk表示j国出口到第三国的第k种产品占j国出口到第三国的全部产品的份额。这个指数的取值范围介于0到100之间,如果其值为0,表示i、j两国出口到第三国的产品的结构完全不同;如果其值为100,则说明i、j两国出口到第三国的产品的结构完全相同。而且,其值越大表示两国出口到第三国的产品的结构的相似程度也越大。
Fingerand Kreinin(1979)利用该指数测算了部分国家出口到美国、日本和欧盟市场的制造业产品的相似度。自从这个指数被提出以来,国内外研究国际贸易的不少学者利用该指数研究过国家间出口贸易产品的相似度问题。王志华等(2006)对该指数经过简单改造,将这个指数转化为测度制造业同构度的指数,并将其称之为“结构重合度指数”,其表达式如下:
(8)
其中,SSIij表示结构重合度指数,Xik是i区域k产业占整个产业的比重,Xjk是j区域k产业占整个产业的比重。该指数的值介于0和1之间,如果它们的值为0,则表示两个相比较区域的制造业结构完全不同;如果其值为1,则说明两个相比较区域的制造业结构完全相同。值越大说明两个相比较区域的制造业结构的同构程度也愈大。
参考文献
免责声明:本内容来源于第三方作者授权、网友推荐或互联网整理,旨在为广大用户提供学习与参考之用。所有文本和图片版权归原创网站或作者本人所有,其观点并不代表本站立场。如有任何版权侵犯或转载不当之情况,请您通过400-62-96871或关注我们的公众号与我们取得联系,我们将尽快进行相关处理与修改。感谢您的理解与支持!







请先 登录后发表评论 ~