信息经济效益评价
什么是信息经济效益评价
信息经济效益评价是采用一整套科学的、可靠的、系统的方法对信息经济的效益进行评价。信息经济效益是信息效用的一种具体的表现形式,其评价结果不仅可以帮助人们从量的角度认识信息商品与信息服务的价值和使用价值,而且对其价格的确定提供了依据。因此,信息经济效益的评价是信息经济学中一个基本的理论问题,研究信息经济效益具有重要的理论价值。
信息经济效益评价的原则[1]
由于信息活动和信息产品的特殊性决定了信息经济效益评价是一项复杂的系统工程,必然要涉及许多相互联系、相互影响的因素,要客观、科学地评价出信息活动的经济效益就需要遵循以下原则。
- ①宏观效益与微观效益相统一的原则。
宏观信息经济效益是指信息产业或信息活动全局的经济效益,是信息产业内部有机联系的整体及信息产业与其他产业相互联系的整体的经济效益。微观信息经济效益是各个信息机构、信息企业和信息系统本身的经济效益。宏观经济效益和微观经济效益关系十分密切,两者既统一又矛盾。
首先,两者是统一的。微观信息经济效益是宏观信息经济效益的基础,如果微观信息经济效益不好,宏观信息经济效益也很难实现。同时,宏观信息经济效益不是微观信息经济效益的简单相加,而是微观信息经济效益相互补充、相互促进的有机整体,宏观信息经济效益对微观信息经济效益起着主导作用,微观的信息经济活动只有符合宏观信息经济效益时才能实现。
其次,两者也存在矛盾。宏观信息经济效益为了发挥自己的主导作用,就会限制微观信息活动;而微观信息经济效益为了显示自己的基础作用,又必然会提出开放和搞活的要求,要求宏观信息经济活动减少对微观层次的控制和干预。信息活动的宏观经济效益和微观经济效益的关系问题,实际上是社会主义经济关系中的全局和局部的关系问题,是国家的整体利益和各单位局部利益之间的关系问题。对信息经济效益进行评价时,要同时考虑到效率和公平,通常在宏观信息经济效益的前提下来评价微观信息经济效益,当两者冲突时,微观信息经济效益要符合宏观信息经济效益。
- ②经济效益与社会效益相统一的原则。
在评价信息经济效益时,由于社会效益的潜在性、间接性而通常被忽略。实际上,所谓以最小的投入达到最大的产出,自然包括了信息活动广泛的社会效益。虽然不像经济效益那样直接、明显,但这些社会效益却是非常重要的。有些机构的信息产品和信息服务单从经济角度看收益很小,甚至得不偿失,但它对人类社会发展和进步、精神文明建设等其起着至关重要的作用,这类信息机构不可或缺,应该得到国家和社会的大力支持。在信息经济效益评价中,要注重经济效益与社会效益的辩证统一性,防止片面追求经济收入而忽视信息产品和信息服务带来的巨大的社会效益,同时也要克服只讲社会效益而全然不顾信息活动在经济上合理性的趋向,使经济效益与社会效益协调兼顾,达到最佳配合。
- ③短期经济效益与长期经济效益、近期经济效益与远期经济效益相结合的原则。
短期经济效益与长期经济效益的关系反映的是信息产品和信息服务所带来的经济效益延续时间的差别,近期经济效益与远期经济效益的关系反映的是投入与产出之间时间间隔长短的区别。有的信息经济活动涉及范围广、花费时间长且投资巨大,短期或近期来看,取得的收益不大,或者说对其投资是不经济的,但从长期或远期的角度考虑,它又具有很大的经济效益和社会效益。对于这样的信息经济活动,人们目光要长远,不能因为暂时没有收益或收益很小,就采取消极的策略。对于信息经济效益的评价应该将短期与长期、近期与远期有机地结合起来,既不能放弃对当前利益的评价,同时又要注重信息经济的长远发展,使得信息经济活动效益最大化,为国民经济发展做出应有的贡献。
- ④静态评价与动态评价相结合的原则。
信息经济的内部因素是指组成信息系统的若干子系统和信息活动中包含的相互联系的环节。内部因素对信息经济作用很大,但任何信息经济活动都离不开其他系统、环境、政策等外部因素,外部因素也会影响信息经济活动的效益。而且随着时间的变化,各因素对信息经济效益的影响大小也会随之变化。所以,对信息经济效益的评价,不仅要对影响信息经济效益的各种内部因素进行静态的考察和分析,还要动态地考察这些因素之间、这些因素与外部因素之间的关系;不仅要考虑现在还要考虑将来,用发展变化的观点去研究各种因素错综复杂的关系及对信息经济效益的动态作用和影响,从而科学地反映出系统总体和整个信息活动的经济效益。
信息经济效益评价的内容[1]
信息经济效益的评价包括对直接效益和间接效益两者的评价。其中,直接效益是指信息作用予直接客体上获得的收益,它有以下三层含义:信息机构或信息系统的经济效益;信息服务活动的经济效益;信息产品消费带来的经济效益。而间接效益指的是信息作用于间接客体上获得的收益,即信息产品或服务被利用后所产生的成果再次作用于其他对象所产生的二次效益、三次效益等。可见,要计算出信息经济的间接效益是很困难的,因此在评价信息经济效益时,以直接效益为主,兼顾间接效益。另外,如果信息产品和信息服务是由信息机构或信息系统所提供的,那么,这些信息产品和信息服务的直接效益也可以看作是信息机构或信息系统间接效益。
信息经济效益在许多方面都不同于物质经济效益,具体而言,它有以下几个特征。
①间接性。信息经济活动通常直接作用于科研生产、经营和其他社会活动,却要经过用户消化、吸收,间接地在用户所从事的领域中发挥作用,从而产生经济效益和社会效益。比如,由于信息的作用,采取了科学的决策,从而节约了资源或是避免了不必要的损失,这是信息经济所带来的效益。
②滞后性。信息经济活动对人们从事的各种活动的作用不是立竿见影的,往往需要一段时间,甚至是相当长的时间之后,其效益才会显现出来,信息经济效益既有短时间的显性效益,也有潜藏的隐性效益。所以,对信息产品(比如信息分析与预测产品)的评价既要开展即时评价又要进行最终评价。
③模糊性。信息经济活动的效益,受多种因素的综合影响,不仅与信息本身的质量、信息工作者的素质有关,也与服务对象、当时的宏观环境及国家政策等因素有很大关系,所以信息经济效益很难从社会经济活动中分离出来,具有很大的模糊性,需要对其进行综合评价。
因此,进行信息经济效益评价时,应该根据其特点,建立科学的评价体系。
从投入与产出的角度,信息经济效益可表示为
B=A - C
式中,B——信息经济效益;
A——信息输出或利用所带来的总收益,常用货币收入来表示;
C——信息输出或信息利用的总消耗。
也可用投入与产出两者的相对值来表示信息经济效果:
E=A/C
式中,E——信息经济效果,A,C与上式中的含义相同。
显然,信息带来的成果越大,经济耗费越小,效益就越大,反之亦然。
由于信息经济效益或效果的评价受到很多因素的影响,常常并不能简单地表示为总收入与总消耗之差或之比,因此可表达为费用效益函数:
B=F(C)
式中,B,C与上式中含义相同。
信息经济效益评价的方法[1]
- (1)直接比较评价法
直接比较评价法是指利用现有的统计数据,通过一系列指标的计算,反映出不同时期的信息经济效益情况,或对类似的信息机构或信息系统及提供同类信息产品、信息服务的不同信息企业的经济效益进行比较。通常人们把评价对象的使用效果直接进行比较。
用下式表示对两个评价对象的使用效果进行评价,即:
公式一:
式中,K——使用效果系数;
E1——现行信息系统的使用效果;
E2——参照信息系统的使用效果。
显然,如果K≥1,则现行信息系统经济效益好,说明采用现行信息系统是有效的;反之,如果K<1,则现行信息系统的经济效益不佳,应该考虑是否采用新的信息系统。
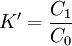
然而在实际操作中,由于各信息系统涉及的社会层次、行业群体、历史阶段不同,因而弱化了参考信息系统的价值,同时信息活动本身具有很大的间接效益,要对实际效果一一测算出来相当困难。因此,借用成本来代替经济效益,并得到派生的评价公式:
公式二:
式中,K——成本评价系数;
C1——现行系统投入的成本;
C0——参照系统投入的成本。
通常,将公式一和公式二结合起来考虑,综合评价K和K'的大小,尽量使得现行的信息系统与参照系统相比,K≥1且K' < 1。
- (2)差额评价法
差额评价法可以用收入与支出之间的差值简单地表示,即用绝对量的差额形式来评价信息经济效益。
- (3)分离信息贡献评价法
常用的分离信息贡献评价法有替代变量法、相关系数法和生产函数法等,其基本思想方法介绍如下。
替代变量法的思想是使用信息系统处理数据和提供信息,减少了人力投入,减免了相应的成本,也就相当于信息系统效益增加。影子收益评价法就是典型的替代变量法,所谓影子收益是指由于未利用信息或信息系统给用户造成的损失之和,又称为用户带来的净收益的影子。虽然影子收益不是信息或信息服务直接创造的,但它是信息系统建立之前和未利用信息服务时客体的损失,这种收益虽是间接测度,但是可以统计测算的,而且比信息远期效益的计算要容易些,所以影子收益法是评价信息和信息系统经济效益十分有效的方法。
相关系数法是通过各种调查、比较和专家评定,来确定信息或信息系统对总的经济效益的贡献,从而可简单地计算出信息或信息系统的效益,即信息或信息系统的效益=总经济效益×信息的贡献度。信息或信息系统的效益是在多种因素作用下实现的,因此,该方法的难点在于信息或信息系统对经济效益贡献大小的测度,虽然专家学者们都纷纷提出测算方法,但是大都较复杂,不易实现。
生产函数法,这种方法是把信息或信息系统作为技术进步的因子,利用生产函数求出信息或信息系统的贡献度。能够比较全面地分离出信息系统的效益,适用于信息系统运行后的效益分析,因而比较科学。但是,一般企业生产函数较难确定,所以生产函数法的实际应用也有一定困难。
- (4)费用效益评价法
费用效益评价法是先对费用和效益两方面分别进行测算,然后比较分析。在评价过程中,不仅要从信息机构、信息系统的角度,还要从社会的角度来评价效益和费用;不仅要评价直接效益和直接费用,而且要评价间接效益和间接费用在内的全部效益和费用;不仅要评价货币收支的比较,还要评价不能用货币反映或较难量化的效益和费用;不仅要考虑县经发生的实际的效益和费用,而且不能忽视预期决策选择行动方案所带来的未来有关的效益和费用。测算时,应该把未来时期的费用和效益通过贴现折算成基年现值,才能将不同时期的费用和效益在同一基础上加以比较。其中,贴现率的确定要参考利息率和决策者的意见。
费用效益评价常用的方法有净现值法和费用效益比率法。
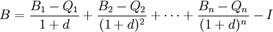
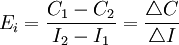
净现值法;信息活动的净效益现值等于效益现值减去费用现值总额后的余额,或者用直接计算净效益现值的方法来计算。这里假定投资费用在基年一次性支出,运行费用在使用期间逐年支出,辅助费用已从基本效益中扣除,派生效益已加入基年效益,构成各年的效益,无形费用和无形效益忽略不计,那么净效益现值为
公式三:
式中,B——净效益现值;
Qi——各年的运行费用;
I——投资费用;
Bi——各年的效益;
n——使用期最后年度;
d——贴现率。
可见,对于不同的信息系统、数据库和其他类信息产品,按同一贴现率计算的净效益总额现值越大其经济效益就越好。
费用效益比率法:用效益费用比率来反映信息系统或信息服务经济效益的大小,效益费用比率等于效益现值总额之比。由于效益费用的比率是按现值计算的,所以信息系统或信息服务的效益费用比率是针对某一特定的贴现率或折算而言的。于是费用现值总额NPV(C)和效益现值NPV(B)及其比值分别为
公式四:
公式五:
公式六:
式中,Ci——信息系统各时期的费用额(i=1,2,…,n);
Bi——信息系统各时期的效益额(i=1,2,…,n);
BCR——费用效益比;
d和咒含义同公式三。
由此可见,当BCR=1时,说明效益水平刚好符合要求;当BCR>1时,说明经济效益好,而且BCR越大效益水平就越高,此时若用更大的折算率进行计算可以更准确地确定效益水平;当BCR<1时,说明达不到预期的效益水平。
实际上,这两种方法的衡量标准对于信息系统或信息产品的取舍决策来说是一致的,它们以不同的方式反映信息系统或信息产品获得信息效益的水平,从而为决策者分析提供依据。
- (5)投资评价法
评价的目的就是要找到实现最大经济效益的途径和方法,所以投资评价法显得尤为重要。在投资评价中用投资回收期和投资效果系数这两个重要指标来衡量投资效益。投资回收期是指回收一次投资所需要的时间,回收期短,表示投资风险小,经济效益好;反之,则经济效益不好。投资效果系数又称资金利润率,表示单位投资取得的利润额,投资效果系数越大,表明经济效益越好。
投资回收期可表示为
公式七:
式中,T——投资回收期;
C——投资总额;
Ry——年资金回流量(其数值等于年收益加固定资产折旧提成)。
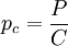
投资效果系数可表示为
公式八:
式中,pc——投资效果系数(资金利润率);
P——利润总额;
C——投资总额。
除以上两个指标外,还可以对不同方案中投资不同的部分和追加投资进行评价。例如,某一信息系统或项目的开发或改造,不同方案的投资是不同的,通常的做法是舍去相同部分,评价不同部分。投资分为直接投资、间接投资和相关投资。直接投资部分中相同的或变化不大的部分可以忽略,只评价不同的部分,用式子表达为
公式九:
式中,
——总投资额;
——不同部分的投资额。
与投资回收期一样,追加投资回收期短则经济效益好,追加投资回收期长则经济效益差,可按下列公式计算:
公式十:
公式十一:
式中,t——追加投资回收期;
——投资增加额;
——投资节约额;
Ei——追加投资效果系数。
若计算出来的追加投资回收期不超过国家和部门的标准投资回收期,或者追加投资效果系数小于国家和部门规定的标准投资效果系数,可以认为效果较好,否则就是不合理、不经济的方案。
- (6)数学评价法
数学评价法适用于用几个标准作为评价依据的情况,特别是对那些含有不确定性、模糊因素的评价,通常采用运筹学中的多目标决策、网络分析、层次分析、模糊评价,以及多元统计分析中的主成分分析、因子分析和聚类分析等有效工具和方法进行定量地动态分析和评价信息经济效益。其中,模糊评价是指利用模糊数学的方法,对受到多个因素影响的事物,按照一定的评判标准,给出事物获得某个评语的可能性。将模糊评价法应用于信息或信息系统效益评价,可以综合考虑影响信息系统的众多因素,并根据各因素的重要程度和其评价结果,将原来的定性评价定量化,能较好地处理信息或信息系统中的多因素、模糊性及主观判断等问题。
信息经济效益评价的意义[1]
①通过信息经济效益评价,有利于及时发现信息经济发展过程中存在的低效益问题,从而为改造旧的信息系统、开发新信息系统及制定相应的信息经济发展策略,提供经济上的合理性和可行性依据。对于投资者来说,最关心的问题莫过于所投入的大量资本到底能带来多大的经济效益,对信息系统的投入能否带来相应的补偿,这就需要对信息经济的效益进行评价,采取正确的战略决策,设计一个能实现效益最大化的方案。
②通过信息经济效益评价,有助于信息工作人员、管理决策人员和信息用户树立正确的价值观和行为取向,尽可能降低信息经济各项活动的费用,提高经济效益。这就要从信息机构和信息用户获得最大经济效益的角度出发,对信息系统的功能和成本进行定量分析。
③通过信息经济效益评价,有利于合理地进行信息产品和服务的市场定价,使得信息产品和服务能够准确、及时地推向目标市场。市场定价过低,资源的投入、信息工作人员及管理人员的付出不能通过市场交换得到补偿;相反,定价太高,信息用户也不会购买高价的信息产品和信息服务,信息部门的价值也无法得到体现。所以,应对信息经济效益进行科学评价,制定出合理的价格体系。
④通过信息经济效益评价,有利于信息经济活动主体的辛勤劳动得到社会承认,有助于壮大信息工作人员队伍,激发他们的工作热情,提高其工作积极性,最终扩大信息产业规模,加快信息经济发展。
⑤通过信息经济效益评价,有利于对信息机构、信息系统和整个信息产业进行经营管理,对信息机构和信息系统实施成本管理、生产管理、人员管理、计划管理后,可以将有限的人力和资源分配到各个环节,使得各方面因素合理配置,输出的经济效益最大。
信息经济效益评价的作用[2]
信息经济效益作为一个指标,来衡量信息生产、信息服务和信息机构以及整个信息活动在经济上的合理性,这对信息经济的发展具有十分重要的意义。通过对信息经济效益的评价可以帮助人们正确认识信息活动投入与产出的关系及约束条件,制定出相应的战略、策略,实现以最小的投入来达到最大的产出,即实现最佳经济效果。研究信息经济效益不仅可以向人们展示信息活动对国民经济的贡献,同时也为信息部门的投资决策提供理论依据。
参考文献
免责声明:本内容来源于第三方作者授权、网友推荐或互联网整理,旨在为广大用户提供学习与参考之用。所有文本和图片版权归原创网站或作者本人所有,其观点并不代表本站立场。如有任何版权侵犯或转载不当之情况,请您通过400-62-96871或关注我们的公众号与我们取得联系,我们将尽快进行相关处理与修改。感谢您的理解与支持!







请先 登录后发表评论 ~