剩余收益
剩余收益(Residual Income)
什么是剩余收益
剩余收益是指投资中心获得的利润,扣减其投资额(或净资产占用额)按规定(或预期)的最低收益率计算的投资收益后的余额。是一个部门的营业利润超过其预期最低收益的部分。即:剩余收益=部门边际贡献-部门资产应计报酬=部门边际贡献-部门资产×资本成本
剩余收益指标能够反映投入产出的关系,能避免本位主义,使个别投资中心的利益与整个企业的利益统一起来。
剩余收益的计算公式
剩余收益的计算公式为:
剩余收益=利润-投资额(或净资产占用额)×规定或预期的最低投资收益率
或剩余收益=息税前利润-总资产占用额×规定或预期的总资产息税前利润率
剩余收益的优缺点
优点:是可以使业绩评价与企业的目标协调一致,引导部门经理采纳高于企业资本成本的决策。另一个好处是允许使用不同的风险调整资本成本。
缺点:不适合于不同部门之间的比较,规模大的和规模小的不一样的。
经济利润、会计收益、剩余收益与EVA的区别与联系
会计收益是按公认会计原则(GAAP) 计算出的归属于企业所有者的剩余。站在企业所有者的角度,GAAP要求从收入中扣除支付给比股东具有优先权的其他相关者(供应商、债权人、员工等)的费用,得出会计收益用以衡量收入中属于所有者的部分。会计收益的计算因采用的GAAP不同,即收入、费用确认和计量的规则不同,结果有差异。很显然,会计收益中未扣除所有者的资本成本,跟经济利润的概念不相符。经济利润是经济学中用来描述企业创造价值的能力的一个概念,它要求从企业收入中扣除所有投入生产要素(包括所有者投入的资本)的成本(萨缪尔森,1999)。但经济利润的概念本身很抽象,需通过一定的计量结果来表示,剩余收益的概念由此产生。
剩余收益是从会计收益(或调整后的会计收益)中扣除所有权资本成本后的余额。
经济利润是指排除所有者投入和分派给所有者方面的因素,期末净资产与期初净资产相减以后的差额。
经济利润是从经济学的角度出发,衡量投入资本所产出利润超过资本成本的剩余收益。
剩余收益虽然符合经济利润的概念要求,但应注意的是,剩余收益并不等同于经济利润,它是一个非常宽泛的概念,其性质和结果取决于不同的计算方法。由于对资本成本的内涵基本不存疑议,不同版本剩余收益的差别在于对收益与股权投入资本价值的不同确认。可以直接采用会计收益作为计算的起点,也可对会计收益进行适当调整以更好地反映真实收益;股权资本可直接采用账面价值(Book Value)也可采用现行价值 (现行投入成本或现行市价)。这些不同内容的剩余收益概念在不同场合以不同的名称出现。剩余收益估价模型中所使用的剩余收益直接从账面股权价值与账面会计收益中算出,不作会计调整,但要求账面价值与会计收益间是一种干净盈余关系(Clean Surplus Relation,CSR),即账面价值的所有变动(与所有者之间的资本交易除外)都应先计入会计收益,不允许有未经损益表而直接进入所有者权益的项目。
EVA经常又被称之为剩余收益或经济利润.剩余收益估价模型中的主要输入变量也是剩余收益,两者都以会计收益为基础,这些貌似甚至雷同的概念在不同应用当中内涵各有不同。因此,对这些概念的厘定是进一步讨论和分析的基础。
EVA是企业管理、财务会计的一个新名词。但EVA概念并不是一个全新的创造,其思想源于剩余收益(Residual Income),在某种程度上,可以说EVA是剩余收益的一个新版本(Makelainen,1998)。剩余收益法可以追溯到Alfred Marshall(1890年),Marshall提出了经济利润的概念,认为一家公司要真正地盈利,除补偿该公司的经营成本外,还必须补偿其资本成本。
EVA 是一种特定形式的剩余收益,它的一个重要特征是要进行会计调整。EVA认为GAAP扭曲了企业的投资和收益情况,如研究与开发费(R&D)本是企业的一项投资却被计入企业的费用,应对此类项目进行调整以反应业绩的真实情况。据斯特恩—斯图尔特公司的建议,会计调整项目可达150多项(埃巴, 2001)。这些会计调整往往同时涉及到账面价值和会计收益,因而EVA被宣称为反映了企业的经济利润。但也应看到,这些调整是在会计数据的基础上进行的,调整后的账面价值并不是现行的投入资本价值,调整后的收益也并不一定能代表真实收益,所以EVA跟经济学中所理解的经济利润还是有区别的,实际上它是一个介子经济利润与会计收益之间的业绩衡量指标。由于会计调整的复杂性与难以取得的一致性,一个简单的方法是不对会计规则进行调整,而只以资本的市价代替账面价值,这一形式的剩余收益被称为精确的或修正的EVA(Revised EVA,REVA)。
剩余收益案例分析
案例一:剩余收益在项目投资决策中的应用[1]
当投资者在比较与选择项目投资方案时,通常是利用投资决策评价指标作为决策的标准,作出最终投资决策的。现行常用的投资决策评价指标包括净现值、净现值率、获利指数、内含报酬率等。这些指标都是以投资项目的预期现金流量作为计算基础。现金流量是进行项目投资决策评价时的一个重要指标,但它却不是一个用于日常管理的好的绩效指标。现金流量在项目投资决策的时点上或者是从投资项目的整个周期来看是有效的,但在投资项目价值实现的过程中却很难用来作为监督实施的工具。这主要是由于企业现金流的大小并不完全反映企业是否赢利和赢利的多少与潜力,更多反映的是企业获得现金的能力和企业经营成果的质量。另外,现金流的变化多端使得很少有企业拿现金流本身作为主要的业绩衡量指标。正因如此,现行的项目投资在投资决策评价时使用现金流量指标,但在进行投资绩效评价时往往使用投资利润率、剩余收益等非现金流量指标。这会造成决策与业绩考核的标准分离,甚至冲突、混乱的局面,不便于投资项目建成投产后与原定目标的比较。所谓剩余收益是指获得的利润扣减最低投资收益后的余额,剩余收益通常是作为一项考核指标,用以评价投资绩效,还可以利用剩余收益来计算投资项目的净现值,进行项目投资决策分析,实现项目投资决策评价与项目投资绩效评价的有效统一。
一、基于剩余收益的净现值指标的计算
(一)净现值与剩余收益
净现值是指在项目计算期内,按照设定的折现率或基准收益率计算的各年净现金流量现值的代数和。现金及其现金流量是价值的源泉,当人们或者企业进行投资时就意味着他们推迟了现在的消费,而着眼于未来的消费。现金可以提供给人们在未来消费各种不同商品和劳务的一种交换媒介,一项资产之所以有价值,就是因为它具备提供未来现金流量的能力。因此,某投资项目的净现值也可以理解为该项目在整个计算期内所创造的价值在投资决策时点上的现值。剩余收益指标的本质其实就是经济利润,经济利润是经济学家所持的利润概念,即总收入与总成本之差。这里所说的总成本是包含正常利润(平均利润)在内的成本。由于正常利润(平均利润)被算为成本,所以经济利润中不包含正常利润(平均利润),是指超过正常利润(平均利润)的超额利润。
经济利润是企业资源优化配置的“指示器”:若经济利润大于零,说明资源配置较优;反之则说明资源配置不合理。经济利润的主要优点在于它比会计利润更具解释意义。净资产(或资本)是企业财富的某一时刻的储存量,利润是某一时期内从该项财富中流出的数额,只有超出储存量的流出数额才可以视为利润。经济利润是一个抽象的概念,需要通过一定的计量结果来表示,于是出现了管理会计学家所称的“剩余收益”的概念。
剩余收益是指获得的利润扣减最低投资收益后的余额,其指标能够反映投资项目创造的价值。如果某投资项目某期的剩余收益大于零,即该项目带来的投资利润大于预期的最低投资报酬,则其创造了价值;反之,则带来价值的毁损。因此,从理论上分析,投资项目各年剩余收益现值的代数和就反映了该项目在整个计算期内所创造的价值在投资决策时点上的现值,即为项目的净现值。
(二)基于剩余收益的净现值指标计算公式
将基于剩余收益的净现值指标定义为“在项目计算期内,按照设定的折现率计算的各年剩余收益现值的代数和”,其计算公式如下:
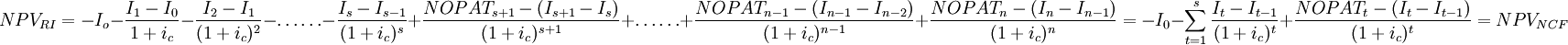
其中NPVRI为基于剩余收益的净现值;RIt为第t年的剩余收益;n为项目计算期; ic为设定的折现率(该投资项目预期应达到的最低投资报酬率)。剩余收益是一个比较宽泛的概念,有多种表达方式。采用的剩余收益的计算形式为税后营业净利润扣减最低投资资本回报额后的余额。因此,上述计算公式还可以表述为:
。
其中It − 1为第t-1期期末(也即第t期期初)的投资资本,投资资本一般为营业流动资金、厂房设备净额(已扣除折旧)以及其他资产净额的总和;ic为设定的折现率(该投资项目预期应达到的最低投资报酬率);NOPATt为第t期的税后营业净利润。若投资项目存在建设期,由于其建设期内的年税后营业净利润为零,则该项目基于剩余收益的净现值指标的计算公式如下:NPVRI=建设期内年剩余收益的现值+经营期内年剩余收益的现值
其中, s为项目建设期。
二、基于剩余收益净现值指标计算公式的推导证明
在企业财务管理的理论与实践中,一般都是利用现金流量来计算投资项目的净现值,其计算公式为:
其中NPVNCF为基于现金流量的净现值;NCFt为第t期的净现金流量;
为第t期新增投资资本( = It − It − 1)。若投资项目存在建设期s,由于其建设期内的年税后营业净利润为零,则该项目基于现金流量的净现值指标的计算公式如下:NPVNCF=建设期内年净现金流量的现值+经营期内年净现金流量的现值
虽然基于剩余收益的净现值指标计算公式与基于现金流量的净现值指标计算公式的表达形式不同,但事实上两者的计算是等效的,公式推导证明如下:
。
由于项目终结时所有投资全部回收完毕,故项目终结点的投资资本为零,则上式可进一步推导如下:
通过前述的公式推导证明,可以看出在项目投资决策评价时,基于剩余收益的净现值法与现行的基于现金流量的净现值法的计算结果是等效的,这也证明了该种计算方法的科学性。相对于现金流量指标,剩余收益具有计算单一年份经营效益的优势,它从经济的角度对价值创造的因素一一判定,能够反映出期间价值创造的准确数字。如果将剩余收益引入项目投资分析,则其既可以作为一项考核指标、用于业绩评价,也可以作为一项评价指标,用于决策分析。这样就可以使得事前决策、事中控制和事后评价指标达到一致,实现项目投资决策评价与项目投资绩效评价的有效统一。
留存收益与剩余收益的区别[2]
留存收益与剩余收益产生背景的区别
留存收益是一个历史概念,是指企业从历年实现的净利润中提取或形成的留存于企业内部的积累。根据《公司法》和《企业会计制度》规定:企业依据公司章程等对税后利润进行分配时,一方面按照国家法律的规定提取盈余公积,将当年实现的利润留存于企业,形成内部积累,成为留存收益的组成部分;另一方面向投资者分配利润或股利,分配利润或股利后的剩余部分,则作为未分配利润,留待以后年度进行分配。这部分同样成为企业留存收益的组成部分。 剩余收益(又称经济利润)是指某期间的会计利润与该期间的资本成本之差,是企业创造的高于市场平均回报的收益。剩余收益是从经济学的角度出发,衡量投入资本所产生的利润超过资本成本的剩余情况,公式如下:剩余收益=会计利润-资本成本=投资资本×(投资资本回报率—资本成本率)。公式清楚地表明,剩余收益是会计利润超过投资资本机会成本的溢价。剩余收益虽与会计利润有联系,但也有区别,它要对企业的全部资本(包含股本和负债)均明确计算资本成本,并考虑资本的机会成本。
从两者的含义可以看出,留存收益是在会计学价值分配理论体系下对企业经营成果的一种分配,一种资金占有状态;而剩余收益是在经济学价值创造理论体系下反映企业的一种净剩余,一种未来现金的净流量。由此可知,留存收益包含的是一种积累价值,是过去时;而剩余收益体现的是一种再造价值,是将来时。
留存收益与剩余收益构成内容的区别
我国企业的留存收益具体表现为盈余公积和未分配利润两部分。盈余公积是指企业按照规定从净利润中提取的积累资金。盈余公积根据用途可以分为法定公益金和一般盈余公积两类(一般盈余公积包括法定盈余公积和任意盈余公积)。盈余公积按其提取方法可分为三种:一是法定盈余公积,按净利润的10%提取,但此项公积金已达注册资本的50%时可不再提取;二是任意盈余公积(主要是公司制的企业),按股东大会决议提取;三是法定公益金,按净利润的5% ~ 10%提取。企业的法定盈余公积和任意盈余公积主要用来弥补亏损和转增资本(或股本)。
由于剩余收益是从净剩余的会计角度来看未来现金流的现值,因此如何将剩余收益分解到更基本的层面,使人们根据可以获得的企业会计数据进行预测,就成为了解其构成内容的关键。例如投资者可能无法知道今后5年的剩余收益,但今后5年的销售增长率、公司平均的销售毛利率、资产周转率、公司惯用的财务杠杆等比率是完全可以比较可靠地获得的。能否运用这些比剩余收益更低层次但更基本的比率对剩余收益做出准确的预测,是值得我们进行研究的问题,在目前我们还不能界定剩余收益的内容。
对留存收益与剩余收益应用和评价的区别
(一)留存收益在企业增长中所起的作用
内部积累是公司最重要的资本来源,其次是负债。而占内部积累绝对比例的留存收益,因为无需支付任何成本,也不需与投资者签订某种协议,又不会受到证券市场的影响和其他限制,从而越来越受到企业代理人的偏爱。
而我国企业积累率偏低,留存收益不足以满足企业发展需要,长期的资金短缺导致企业对资金过度渴求。现阶段,我国证券市场发展很不成熟,发行债券受到债券管理条例与《公司法》的严格限制。而发行股票却不一样,由于股利分配政策不规范,上市公司可以不发放股利或降低股利支付率,这实际上造成发行股票的成本远远低于债务资本成本;并且我国上市公司一旦垮了,会有许多手段去补救,这就造成上市公司不怕发行新股的失败而影响其再融资渠道,所以,我国企业倾向于发行新股来筹集权益资金以满足企业增长需求。股本扩张虽然可以为企业增长提供资金保证,但股本资金的增加并不一定会提高企业增长率。企业只有提高自身盈利能力,增加自身积累,不断创造价值才是企业增长的原动力。
(二)剩余收益在企业价值评估中的作用
1.剩余收益对企业业绩评价的完善。 剩余收益引进的资本资产定价模型,用以确定企业的资本成本并分析各部门的风险特征。一个企业的加权平均资本成本KW,可以通过以下公式得出:KW=DM×(1-T)×KD/(DM+EM)+EM×KE/(DM+EM)。其中,DM=公司负债总额的市场价值;EM=公司所有者权益的市场价值;KD=负债的税前成本;T=公司的边际税率;KE=所有者权益的成本。 剩余收益是对传统会计利润的一种修正,以指导公司准确得出真正的经济收益。这种修正有助于解决以下问题:首先是消除会计的稳健主义;其次是消除或减少管理当局进行盈余管理的机会;再次是使业绩计量免受过去会计计量误差的影响。人们把经过上述修正调整后的剩余收益结果称之为经济增加值(EVA),其公式为:EAV=NOPAT-KW×NA。其中,KW是企业的加权平均资本成本;NA是公司资产期初的经济价值;NOPAT是以报告期营业净利润为基础,经过下述调整得到的:①加上坏账准备的增加;②加上后进先出计价方法下存货的增加;③加上商誉的摊销;④加上净资本化研究开发费用的增加;⑤加上其他营业收入(包括投资收益)和减去营业税。
运用EAV指标衡量企业业绩和投资者价值是否增加的基本思路是:公司的投资者可以自由地将他们投资于公司的资本变现,并将其投资于其他资产。因此,投资者从公司至少应获得其投资的机会成本。这意味着,从经营利润中扣除按权益的经济价值计算的资本的机会成本后,才是股东从经营活动中得到的增值收益。
2.剩余收益对人力资本会计的启示。社会经济的发展、企业效益的提高,是人力资本和物力资本相互作用的结果,而其主导作用来自人力资本。人力资本在企业经济结构中地位的上升及其增值收益的显现,客观上要求参与企业剩余收益的公平分配。《企业财务通则》中规定的税后利润的分配,只承认物力资本产权主体对企业剩余收益拥有索取权,而没有承认人力资本产权主体对企业剩余收益的索取权,这对企业的长远发展是不利的。我们可以将剩余收益划分为人力资本收 益与物力资本收益。在考虑收益能力差别的基础上,分别计算出两者的投资报酬率,然后根据各自的投资额计算出人力资本收益与物力资本收益,并对这两部分实行再分配。但是目前,人力资本会计还不规范、完善,缺乏统一的科学评价标准,人力资本收益采用何种方法计量、如何分配,还有待进一步深入研究。
参考文献
免责声明:本内容来源于第三方作者授权、网友推荐或互联网整理,旨在为广大用户提供学习与参考之用。所有文本和图片版权归原创网站或作者本人所有,其观点并不代表本站立场。如有任何版权侵犯或转载不当之情况,请您通过400-62-96871或关注我们的公众号与我们取得联系,我们将尽快进行相关处理与修改。感谢您的理解与支持!







请先 登录后发表评论 ~