偿债基金法
偿债基金法(Method of Sinking Fund)
什么是偿债基金法
偿债基金法是指借款人在每一个时期定期向贷款人支付贷款利息,并且按期另外存一笔款项, 建立一个基金,在贷款期满时这个基金里的金额正好等于贷款的本金,再一次性偿还给贷款人。
偿债基金法的具体做法
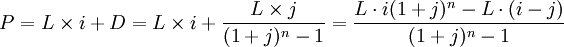
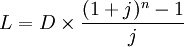
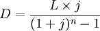
偿债基金法是通过一个偿债基金来偿还债务,具体做法是,借款人在每个还款期向贷款人支付该时期本金所产生的利息,同时也向专门建立的一个基金中存入一定的款项,并保证该基金里面的金额在贷款期满时止好积累到贷款额度,用于偿还贷款。这里我们假定每次存入基金的款项是相等的, 并且设L为贷款额,n为贷款期限,i为贷款利率,j为偿债基金存款利率(在实际情况中,一般是是j<i ),D为每次存入偿债基金的款项,P为借款人每个时期的还款总额(即为利息部分加j:存入偿债基金部分), 则根据偿债基金法, 可以得到:
从而得到:
所以,借款人每次还款额为
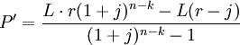
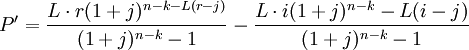
现在同样假定,从第k+1个时期开始贷款利率上升为r,偿债基金存款利率不变, 那么,从第k+1时期开始,每一期的还款额变为:
所以,如果借款人是选择用偿债基金法来清偿债务的话, 那么, 从升息开始到贷款期满为止的每一个时期应该多支付的利息为:
=L(r-i)
免责声明:本内容来源于第三方作者授权、网友推荐或互联网整理,旨在为广大用户提供学习与参考之用。所有文本和图片版权归原创网站或作者本人所有,其观点并不代表本站立场。如有任何版权侵犯或转载不当之情况,请您通过400-62-96871或关注我们的公众号与我们取得联系,我们将尽快进行相关处理与修改。感谢您的理解与支持!







请先 登录后发表评论 ~