赠与成分
赠与成分(Grant Element, 简称GE)
什么是赠与成分
赠与成分指一国政府在向另一国政府提供的政府贷款中 所含有的赠送成分。赠与成分是根据贷款利率、偿还期、宽限期、收益率等数据计算出来的衡量贷款优惠程度的综合性指标。
赠与成分计算公式
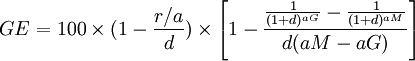
国际通用的计算赠与成分百分比的公式为:
式中,GE:贷款金额面值中赠与部分所占百分比,即赠与成分;
r:利率;
a:每年偿付次数;
d:获益率,即贷款期内的贴现率;一般按综合年利率的10%计算;
G:宽限期,是第一次贷款支付期至第一次偿还期之间的时 间;
M:偿还期。
免责声明:本内容来源于第三方作者授权、网友推荐或互联网整理,旨在为广大用户提供学习与参考之用。所有文本和图片版权归原创网站或作者本人所有,其观点并不代表本站立场。如有任何版权侵犯或转载不当之情况,请您通过400-62-96871或关注我们的公众号与我们取得联系,我们将尽快进行相关处理与修改。感谢您的理解与支持!







请先 登录后发表评论 ~