下限风险
- 下限风险(Downside Risk)
下限风险概述
马科维茨(1952)提出了对投资组合收益和风险的衡量标准,其中将标准差视为组合的总风险,描述组合收益率高于或低于平均收益率的波动幅度。但在实际的投资中,投资者往往会对收益和风险有一个权衡,与收益率高于基准部分所带来的收益回报相关,投资者可能更关心低于基准部分的收益下跌风险,即所谓下限风险(Downside Risk)。马科维茨(1959)后来也意识到用下限风险衡量组合风险比用标准差更为贴切,因为当组合的收益率满足正态分布时,只有用下限风险来衡量投资组合风险,才能帮助投资和出正确的决策。
在基金投资中,下限风险是指基金净值增长率的下方标准差(Down—side Standard Deviation),测量的是基金的净值增长率与目标回报率或者期望回报率反向的偏差程度。
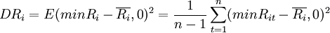
下限风险的计算公式[1]
其中DRi表示第i只基金的下限风险;
表示其中一只低于平均值的基金净值增长率;n为样本数。
一般来说,下限风险越大,说明基金组合回报向下或向坏一面的风险越大。
参考文献
- ↑ 高升.新基民入市百问百答[M].中国商业出版社,2007.5
免责声明:本内容来源于第三方作者授权、网友推荐或互联网整理,旨在为广大用户提供学习与参考之用。所有文本和图片版权归原创网站或作者本人所有,其观点并不代表本站立场。如有任何版权侵犯或转载不当之情况,请您通过400-62-96871或关注我们的公众号与我们取得联系,我们将尽快进行相关处理与修改。感谢您的理解与支持!







请先 登录后发表评论 ~