风险价值系数
风险价值系数是指某项投资的风险收益率相对于其标准离差率的比率。
风险价值系数的大小取决于投资者对风险的偏好,对风险的态度越是回避,风险价值系数的值也就越大;反之则越小。标准离差率的大小则由该项资产的风险大小所决定。
风险价值系数的计算
风险价值系数的计算是根据公式:
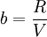
所以
式中:R:风险报酬率; b:风险价值系数; V:标准离差率。
风险价值系数的确定
风险价值系数的大小由投资者根据经验并结合其他因素加以确定。通常有以下几种方法:
(1)根据以往同类项目的有关数据确定。
根据以往同类投资项目的投资收益率、无风险收益率和收益标准离差率等历史资料可以求得风险价值系数。
(2)由企业领导或有关专家确定。
如果现在进行的投资项目缺乏同类项目的历史资料,不能采用上述方法计算,则可根据主观经验加以确定。可以由企业领导,如总经理、财务副总经理、财务主任等研究确定,也可由企业组织有关专家确定。这时,风险价值系数的确定在很大程度上取决于企业对风险的态度。比较敢于冒风险的企业,往往把风险价值系数定得低些;而比较稳健的企业,则往往定得高些。
(3)由国家有关部门组织专家确定。
国家财政、银行、证券等管理部门可组织有关方面的专家,根据各行业的条件和有关因素确定各行业的风险价值系数。这种风险价值系数的国家参数由有关部门定期颁布,供投资者参考。
免责声明:本内容来源于第三方作者授权、网友推荐或互联网整理,旨在为广大用户提供学习与参考之用。所有文本和图片版权归原创网站或作者本人所有,其观点并不代表本站立场。如有任何版权侵犯或转载不当之情况,请您通过400-62-96871或关注我们的公众号与我们取得联系,我们将尽快进行相关处理与修改。感谢您的理解与支持!







请先 登录后发表评论 ~