流动性约束理论
流动性约束理论(Liquidity Constraint Theory)
流动性约束理论概述[1]
流动性约束理论认为,持久收入—生命周期假说关于个人能够在同样的利率水平上借人和储蓄的假定与现实不符,现实经济生活中存在着流动性约束。①无论流动性约束何时发生,它都会使一个人的消费比他想要的消费少;②即使流动性约束不在现期发生,但它在将来发生的事实同样会降低现期消费。在无流动性约束的条件下,当预期收入下降成为现实的时候,消费者可以借助于消费信用来避免消费的锐减,而不必提高边际储蓄倾向,但是,如果存在流动性约束,那么收入的下降就会引起消费的下降,除非个人有储蓄。因此,流动性约束的存在会导致个人消费的减少,储蓄的增加。储蓄在这里是作为“保险”以抵消未来收人下降对消费的影响。
流动性约束理论的内容[2]
流动性约束又称“信贷约束”,是指居民从金融机构以及非金融机构和个人取得贷款以满足消费时所受的限制。在西方消费(储蓄)理论中,最早提出流动性约束问题的是弗莱明(Flavin,1973)以及托宾(Tobin,1971)。在他们之后,相继有大量的研究者对这一问题表示关注,并运用不同的方法进一步分析了流动性约束影响储蓄的原因、程度和效果等问题,主要代表人物有迪顿(Deaton,1991)、泽尔德斯(Zeldes,1989)等人。
流动性约束假说认为,流动性约束可能导致消费者当期消费对可预测收入变化的过度敏感性。如果消费者面临消费信贷的高利率,则可能在当期收入资源较少时,选择放弃消费信贷以平滑消费;在不存在消费信贷的情形下,只能依照现有的收入资源进行低消费。流动性约束的存在,使当期收入对现期消费的影响大于生命周期假说或持久收入假说的预言。
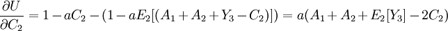
假定个人把一生的全部收入消费掉,不留遗产;存款和贷款利率为零;消费者一生收入和消费分为三个时期,效用函数为二次型。从考虑消费者第二期中的行为开始,设At表示消费者第二期末的资产,有C2 = A2 + Y3。因为A2 + Y3 = A1 + A2 + Y3 − C2,故个人在第二期和对第三期的预期效用是C2的函数,其形式为:
(1)
(2)当C2 < (A1 + A2 + E2[Y3] − 2C2) / 2时,式(2)为正值,否则为负。如果不存在流动性约束,个人将选择C2 = (A1 + A2 + E2[Y3]) / 2;如果有流动性约束,个人则会把消费设为可达到的最高水平A1 + Y2,因此:
现在考虑第一期。如果不存在流动性约束,个人可通过减少C2而使C1提高。现在来看一下当期存在流动性约束的情形。在一般性即期效用函数下,将第一期和第二期联系起来的欧拉方程:u'(C1) = E1[u'(C2)]成立。在上述具体假设下,这意味着:
式(4)中的C2由式(3)决定。由此可知,如果满足C1的值大于个人在第一期的资源,即个人在当期面临流动性约束,则个人在第一期的最高消费为A0 + Y1。
如果第二期流动性约束的概率为正,由方程(3)可知,第一期对C2的期望严格小于(A1 + Y2 + E2[Y3]) / 2的期望。因为A1 = A0 + Y1 − C1,且E1(E2[Y3]) = E1[Y3],因此,
式(5)两边同时加上C1 / 2,然后同除以1/2,可得:
从式(6)可知,即使当期不存在流动性约束,如果未来可能有流动性约束,当期的消费也可能下降。
由此,流动性约束假说的主要结论是:第一,存在流动性约束的消费通常低于没有流动性约束的情形。一般说来,在流动性约束下的消费与当期收入正相关,这是消费“过度敏感性”的重要原因;正是由于未来的收入对当期消费作用有限,这也就为“消费平滑性”提供了一种解释。第二,即使当期不存在流动性约束,如果消费者预期到未来面临流动性约束,当期的消费也会下降。因此,流动性约束的存在,将促使个人储蓄,以防止未来收入下降对消费的冲击。一个合理的推论是:在一个国家的消费者面临较强的流动性约束时,该国的储蓄率较高。贾泊利(Japelli)和帕格诺(Pagano)对这一推论进行了检验,其研究结果表明,储蓄率与消费贷款比例负相关,流动性约束对消费者的储蓄行为存在影响。第三,如果消费者在第t期面临流动性约束,则以后各期的消费都将受其影响。
关于流动性约束产生的原因,该理论认为有四个方面:一是消费者没有财富,所以不能将现有的财富变现或者将现有财富作抵押获得贷款;二是信贷市场的信息不对称导致信贷市场存在道德风险和逆向选择,使均衡的信贷利率高于信息对称情况下的均衡利率;三是信贷市场本身不发达,消费信贷的规模和种类不够多;四是各国对破产和取消贷款抵押回赎权的规定不同。破产程序越严,取消贷款抵押回赎权的期限越长,放贷者会更谨慎、更严格地审查借款人的资格。
流动性约束从两个途径降低消费:第一,当前的流动性约束会使一个人的消费比他想要的消费少,如果消费者受到严重的流动性约束,那么消费者就不能顺利地平滑一生中的消费。当消费者处于低收入阶段时,即使他有预期的未来高收入,但他借不到钱,所以只能进行低消费。消费者提高消费水平的唯一途径是自己积累财富或者等待高收入时期到来。第二,预期未来可能发生流动性约束,同样会降低现期消费。例如,假设在下一期存在收入降低的可能,如果没有任何流动性约束,个人可以通过借款来避免消费锐减,但是如果有流动性约束,那么收入下降就会引起消费下降,除非个人有储蓄。因此,流动性约束的存在会导致个人减少现期消费,增加储蓄。
根据流动性约束理论,低收入与流动性约束的结合会使消费者产生短视行为。当消费者绝对收入很低时,在流动性约束的制约下,消费者只能根据现期的收入与已有的流动性资产(如储蓄存款)来规划消费路径——首先进行积累,直至实现最迫切的目标,然后再进行积累,逐个实现预定的目标。这就是低收入者的“短视行为”。从长期来观察,具有“短视行为”的典型消费者的消费路径具有多个“触发点”。消费者首先节约消费,积累财富,然后逐个实现其消费目标。在积累时期,消费水平小于不存在流动性约束情况下的当前消费水平。对低收入者而言,收入越低,目标支出越大,积累的时间就越长,或者在比较短的时间内,现期的储蓄就必须更多。这与通常的边际消费倾向递减规律正好相反。在“触发点”时刻,消费支出与其已经积累的财富具有密切的关系,而当期收入对消费者支出的影响相对减弱。
总之,当存在流动性约束时,消费减少,储蓄增加。显然,如果典型消费者受到流动性约束,其一生的消费路径将不再是平滑的。各国流动性约束的严重程度不同(即使是在发达国家,由于信贷市场的信息不对称等原因,流动性约束必然存在,而在发展中国家,除了信贷市场信息不对称外,信贷市场不发达等制度性因素使得流动性约束的情况更为严重),国际比较研究表明,流动性约束对各国的总储蓄是重要的,从而也说明了流动性约束对消费也具有重要的影响。
相关条目
- 预防性储蓄理论
参考文献
免责声明:本内容来源于第三方作者授权、网友推荐或互联网整理,旨在为广大用户提供学习与参考之用。所有文本和图片版权归原创网站或作者本人所有,其观点并不代表本站立场。如有任何版权侵犯或转载不当之情况,请您通过400-62-96871或关注我们的公众号与我们取得联系,我们将尽快进行相关处理与修改。感谢您的理解与支持!







请先 登录后发表评论 ~