古诺模型
古诺模型(Cournot model)
什么是古诺模型
古诺模型又称古诺双寡头模型(Cournot duopoly model),或双寡头模型(Duopoly model),古诺模型是早期的寡头模型。它是由法国经济学家古诺于1838年提出的。是纳什均衡应用的最早版本,古诺模型通常被作为寡头理论分析的出发点。古诺模型是一个只有两个寡头厂商的简单模型,该模型也被称为“双头模型”。古诺模型的结论可以很容易地推广到三个或三个以上的寡头厂商的情况中去。
古诺模型假定一种产品市场只有两个卖者,并且相互间没有任何勾结行为,但相互间都知道对方将怎样行动,从而各自怎样确定最优的产量来实现利润最大化,因此,古诺模型又称为双头垄断理论。
古诺模型的假定[2]
两个生产者的产品完全相同;生产成本为零(如矿泉水的取得);需求曲线为线性,且双方对需求状况了如指掌;每一方都根据对方的行动来做出自己的决策,并都通过凋整产量来实现最大利润。
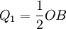
如图,AB为产品的需求曲线,总产量为OB,开始时假定A厂商是唯一的生产者,为使利润最大,其产量
(按MC=0 假设,OB中点的产量使得MR=MC=0),价格为P1。当B厂商进入该行业时,认为A将继续生产Q1的产量,市场剩余销售量为
,为求利润最大,B厂商的产量Q1Q2将等于
,价格下降到P2。B厂商进人该行业后,A厂商发现市场剩余销售量只剩下
,为求利润最大化,它将把产量调整到
。A厂商调整产量后,B厂商将再把产量调整到
。这样,两个寡头将不断地调整各自的产量,为使利润为最大,每次调整,都将产量定为对方产量确定后剩下的市场容量的
。
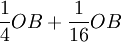
这样,A厂商产量调整序列为
、
、
……,B厂商产量调整序列为
、
、
……。则A厂商的均衡产量为
,B厂商的均衡产量为
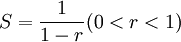
。根据无穷几何级数和的公式
,我们得到:
A的均衡产销量
B的均衡产销量
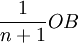
如果寡头垄断市场内有n个厂商,我们可求出每个厂商的均衡产量为
,总产量为
。要是完全竞争的市场结构,厂商数目越多,单个厂商的产销量越小,而总产量
就越大;如果是完全垄断的市场结构,厂商的产销量则为
。故寡头市场的总产量大于垄断市场的产量,小于完全竞争市场的总产量。
古诺模型中厂商的产量选择
A厂商的均衡产量为:
OQ(1/2―1/8―1/32―……)=1/3 OQ
B厂商的均衡产量为:OQ(1/4+1/16+1/64+……)=1/3 OQ
行业的均衡总产量为:1/3 OQ+1/3 OQ=2/3 OQ
价格竞争的古诺模型[2]
以上讨论的古诺模型是产量竞争模型。对于那些生产同质产品的寡头来说,所进行的竞争属于产量竞争,如石油生产者之间的竞争就是如此。如果寡头们所生产的是有差别的同类产品,例如,汽车生产者之间的竞争则大多是价格竞争。我们用一个简单随意的例子讨论价格竞争的古诺模型。
假定有两个寡头分别用40元(也可以设想为40万元)的固定成本生产可以相互替代并巳是有差别的产品。为了使问题简化,假定不存在变动成本,因此边际成本等于0。加上变动成本后并不会改变问题的结论。两个寡头所面临的市场需求函数如下:
D1:Q1 = 24 − 4P1 + 2P2 ①
D2:Q2 = 24 − 4P2 + 2P1 ②
其中,Q1,与Q2分别表示寡头1与寡头2的产出水平;P1与P2分别表示寡头1与寡头2收取的价格。可以看出,对每个寡头产品的需求量与该寡头产品的价格反方向变化,与竞争对手产品的价格同方向变化。假定两个寡头同时作出决策。在进行决策时,每个寡头都把其对手的价格视为既定,然后选择能使自己利润达到最大化的自己产品的价格,通过构造两个寡头的利润函数,并按照求利润最大化的条件,可以导出古诺均衡解。例如,对于寡头1来说,其利润函数为
③
按照求利润最大化的条件就(③)式对寡头1产品的价格P1求一阶导数并令一阶导数值等于0。得到寡头1的反应函数:
④
同理,可以导出寡头2的反应函数:
⑤
求(④)式与(⑤)式的联立解,得到可以使两个寡头利润最大化的均衡价格P1 = 4,P2 = 4。寡头间无勾结行为而达到的这种均衡称为古诺均衡。图中E点是价格竞争的古诺均衡点。
图中的两条曲线(本例中为直线)P1(P2)与P2(P1)分别为寡头1与寡头2的反应曲线。两条区线的交点为古诺均衡点。在我们的例子中,虽然两个寡头所进行的是价格竞争,但是竞争的结果却是两个寡头收取相同价格,无任何价格差别,似乎不算价格竞争。需要指出,两寡头收取同样的价格是偶然的。价格竞争的结果可能是寡头收取同样的价格,也可能是收取不同的价格。
将所求出的均衡价格P1 = 4、P2 = 4分别代入两寡头的需求函数(①、②)式,得到两寡头的均衡产量,分别为Q1 = 16,Q2 = 16。将均衡价格与均衡产量代入(③)式的利润函数,得到两个寡头的最大化利润,π1 = 24,π2 = 24。
古诺均衡是在寡头间无勾结行为时达到的均衡。若寡头间相互勾结,以求得联合的利润最大化,所达到的均衡是共谋均衡。就(①、②)两式的需求函数而言,如果两个寡头进行勾结。其联合的利润函数为
π = π1 + π2 = 48P − 4P2 − 80 ④
利润最大化的价格为P=6,两寡头利润最大化的产量分别为Q1 = 12,Q2 = 12。每个寡头所获得的最大化利润为π1 = 32, π2 = 32:。图中F点是共谋均衡点。显然,寡头在进行勾结的情况下收取的价格与获得的利润都高与无勾结行为下的价格与利润,但产出水平低于无勾结行为下的产出水平。
古诺模型结论的推广
以上双头古诺模型的结论可以推广。令寡头厂商的数量为m,则可以得到一般的结论如下:
每个寡头厂商的均衡产量=市场总容量/(m+1)
行业的均衡总产量=市场总容量·m/(m+1)
古诺模型的缺陷是假定了厂商以竞争对手不改变产量为条件。
相关条目
- 伯特兰德模型
- 斯塔克尔伯格模型
- 斯威齐模型
- 埃奇沃斯模型
- 价格领先模型
- 卡特尔模型
- 价格竞争的古诺模型
参考文献
免责声明:本内容来源于第三方作者授权、网友推荐或互联网整理,旨在为广大用户提供学习与参考之用。所有文本和图片版权归原创网站或作者本人所有,其观点并不代表本站立场。如有任何版权侵犯或转载不当之情况,请您通过400-62-96871或关注我们的公众号与我们取得联系,我们将尽快进行相关处理与修改。感谢您的理解与支持!








请先 登录后发表评论 ~