国际租赁合同
国际租赁合同(Lease Agreement)
什么是国际租赁合同
国际租赁合同是指一方当事人将自己的财产的使用权转移给另一方,承租人在合同规定的时间内,使用该财产并支付相应租金的协议。
国际租赁合同的主要内容
国际租赁合同的主要内容有:签约日期、地点及合同号码;双方当事人名称、地址;租赁标的物的名称、型号、规格等;租赁标的物的价格;租金;交货条件,包括发货日期、地点和收货地点;租赁标的物验收条件;租金支付办法,包括起算日期、分期支付的金额等;银行保函条款;逾期支付的罚款;租赁标的物的维修、保养及保险的规定;租赁期满后,租赁标的物的处理办法;仲裁条款;中止条款;转租条款等。
国际租赁合同的基本内容[1]
一项国际租赁服务贸易往往需要订立多份合同,如购货合同、租赁合同、贷款合同、维修合同、保险合同等,但租赁合同是其中的基本合同,它属于经济合同的范畴。在国际租赁业务中,由于实际运用的租赁方式及租赁物不同,租赁合同的内容也不完全相同,但一般应包括如下基本内容:
1.合同日期
租赁合同的签订日期一般为该项国际租赁交易当事人签订合同的当天,但是合同日期并不就是租期的起算日。
2.合同的当事人
租赁合同的当事人主要是指出租人和承租人。出租人是租赁物的所有者,而承租人则是租赁物的使用者。在合同中须注明当事人的姓名和地址。
3.租赁物
在租赁合同中应明确租赁物的价格、名称、规格、星号、数量等,以及承租人使用租赁物应注意的事项。
4.租赁期限
租赁期限一般从承租人验收租赁物之日算起,如果设备需要安装,则应从设备安装完毕、承租人正式开始使用算起。租期的长短主要依据设备的使用寿命而定。通用设备租期一般为3年左右;厂房、机械设备、计算机等租期一般为5年左右;飞机、船舶等租期一般为10年左右。
5.租金
在租赁合同中,按期支付租金是承租人的一项主要义务。租金条款须明确总租金额、每期支付的租金额、支付方式、支付时间和支付币种等。
6.租赁物的购买与交货
租赁合同中须注明出租人所购买的租赁设备是由承租人选定的,应明确租赁物的交货期和交货地点、验货时间和方法等,以及交货人不能按时交货应承担的责任。
7.纳税
国际租赁贸易中涉及海关关税、工商统一税等多种税款的缴付问题,合同当事人应在合同中明确各方应承担支付的税收种类。
8.租赁物的维修、保养
租赁合同须明确承租人对设备的保管义务,在使用设备时应注意的事项。融资性租赁合同一般规定由承租人支付租赁物的维修费用,而经营性租赁合同往往由出租人或制造商负责租赁物的维修及保养。
9.租赁保证金
租赁合同通常规定承租人缴纳租赁保证金给出租人,作为履行租赁合同的保证,保证金的具体金额应在合同中注明。保证金一般不计利息,待租期满后退还给承租人。如果承租人违约,出租人有权从租赁保证金中扣抵承租人应该缴付的款项。
10.保证书
在国际租赁贸易中通常需要担保人保证承租人严格履约,如发生承租人不能按照租赁合同的规定向出租人缴付租金或其他款项时,担保人应无条件地替承租人向出租人支付包括迟延利息在内的未付租金余额和其他应付款项,一般要求银行出具担保书。
11.保险
租赁双方应在合同中规定由谁为租赁物投保,如果是由承租人支付保费,承租人应以出租人的名义为租赁物投保,如因保险范围内的风险致使租赁物受损时,承租人须及时向出租人提交有关文件,帮助出租人顺利获取保险赔偿金。
12.租赁物期满后的处理
在租赁合同中,应明确租赁期满后租赁物的处理方法。如果退还,须规定租赁物应保证的状态;如果续租,应注明承租人在何时提出续租要求;如果留购,应明确留购的价格。
13.仲裁条款
租赁合同中应规定交易过程如果出现违约情况的赔偿金额和争议的解决方法。我国《涉外经济合同法》规定:合同当事人可以选择处理合同争议所适用的法律。当事人没有选择的,适用与合同有最密切联系的国家的法律。
国际租赁合同双方的权利和义务[1]
国际租赁合同与其他合同一样,签订后就具有了法律效力,出租人和承租人必须履行合同规定的各项义务,同时依照合同享有相关的权利。一般来说,出租人和承租人双方的权利和义务既是相互对应的,又是互相联系的。
1出租人的权利和义务
(1)出租人按照租赁合同履行自己的义务后,有权按期向承租人收取租金。
(2)出租人应该按照承租人的要求,提供给承租人适合生产的先进设备,并保证设备处于良好状态。
(3)如果双方签订的是经营性租赁合同,出租人应该提供全套技术服务,如设备的保养、维修以及培训技术人员等。在合同有效期间,如果租赁物发生不是因为违反操作规程所引起的故障,出租人应该免费负责修复或更换设备零配件。如果出租人同意由承租人或第三者修理设备,出租人应该支付由此产生的费用,但该费用不得超过合同规定的标准。
(4)在租赁期间,出租人有权跟踪检查其出租设备的情况。如果租赁物因承租人的过失遭受损坏,出租人有权依据租赁合同规定向承租人提出相应赔偿。
2.承租人的权利和义务
(1)出租人按照租赁合同履行应尽义务后,承租人应重合同、守信用,按期向出租人支付租赁费。
(2)租赁合同签订后,承租人应注意及时办理租赁物的进口验关缴税手续,尽快安装好设备投入生产运行。承租人应按合同规定地点和企业使用机器设备;如果需要变动,应该事先通知出租人和制造商。承租人应妥善使用租赁物,使其保持良好状态。
(3)在租赁期间,承租人应该在设备上标明其所有人的标签,防止设备被扣作抵押物。并保证设备安全。承租人应按合同规定保障设备所有人的权益,对租赁设备的构造和技术资料等应予以保密。
(4)如果双方签订的是经营性租赁合同,在租赁期未满前,承租人有权向出租人要求更换更先进的设备。如果出租人提供的维修不符合要求,承租人有权提出赔偿损失,直至解除租赁合同。
(5)如果租赁合同规定由承租人负责租赁期间设备的保险,承租人应该以出租人为受益人向保险公司投保,保险费则由承租人负担。
3.租金
(1)租金的计算方法
租金是出租人因出租设备向承租人收取的收益。租金的高低与设备的购买价格、各种手续费以及租期直接相关,简单的租金等额支付法计算公式为:
|
租金= | (租赁物购买价格-估计残值)+利息+利润+手续费+保险费 | |
| 租期 |
租赁物购买价格。指出租人根据承租人的要求,出资购买租赁物所发生的费用,包括购买设备的货价、运输费等。
融资利息。为了购买设备,租赁公司向银行或金融机构筹借资金,所以,设备的租金中包括应支付银行的利息。
各种手续费。出租人为承租人办理租赁业务所支付的营业费,如办公费、工资、差旅费、税金等。
租赁物残值。租赁物残值的计算与折旧期有关,通常租赁期满后租赁物残值较大那么租金就低,残值相对租金较高。在美国,租赁合同期满时的估计残余价值最少必须等于设备原价的20%,这种租赁才能认定为“正式租赁”,使出租人获得税收优惠。从租赁物购买价格中减去估计残值,是因为在租赁期满后该租赁物可以从承租人那里收回,通过处理该项租赁物能够得到其剩余价值,减去这笔价款能减轻原承租人的负担。
利润。利润是出租人出租物品应获取的收益,出租人的利润来自租金。
保险费。即为租赁物投保所付的费用。
在国际租赁贸易中,由于各国金融市场利率不同,合同双方需要根据取得货币的利率来计算每期租金。一般来说,租赁租金总额应高于租赁设备购买价的12%~17%,而不超过购买价的22%,由于是分期支付,所以比用贷款方式(包括付息)购买便宜。
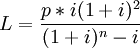
考虑到利率因素,每期租赁应付租金的计算公式如下:
在上式中:
L——租金(以秒为单位)。
p——租赁物购买力价。
i——融资利率(以年为单位)。如果每半年付一次租金,则i应除以2;每季度付一次租金,则i应除以4。融资利率包括垫款利息、税金、保险费以及手续费等。从上式可以看到,融资利率(i)是决定租金高低的主要因素。
n——合同期应付租金次数。如果租金在5年内付清,每半年付1次,则n应为10。
(2)租金的支付方式
在国际租赁贸易中,由于承租人不同、租赁物的用途不同,租金的支付方式也有所不同。如出租电子计算机按规定的使用时间计算租金、出租飞机则按飞行时数计算。
租金的支付时间在租赁合同中须明确规定,一般按每周、每月、每半年或每年支付一次。如果租期不到1个月,通常要求承租人在签订租赁合同时就付清全部租金。
在国际租赁贸易中,有时要求预先支付全部或部分租金。预付租金实际上是缴纳保证金的一种形式,出租人预先支付相当于几个月或几个季度的租金;在不要求预付租金的租赁业务中,出租人通常在使用租赁设备取得利润后才支付第一次租金。在实际租赁业务中,后一种方式采用较多。
租金通常不得提前支付。在租赁交易中,当事人会在租赁合同中具体规定租金支付的次数、每次支付的租金金额和日期,而且出租人要求租金不得提前支付,否则要加收罚息。之所以这样,首先是由于租赁公司本身一般为非存款性机构,只有少数自有资本金,需要较多地从资金市场筹措资金,尽管它们可以将回收的租金存入银行或重新投入市场,但存款利息远低于租金;其次,再寻找合适的新客户也需要时间。
4.合同的有效期
合同有效期的长短一般由租赁设备的种类决定。租赁按租赁期限可分为短期、中期和长期。短期租赁从1天、1周、1月到1年,国内租赁市场采用较多。国际租赁业务一般采用中长期租赁,也称“合同租赁”(ContractLease),期限从3年、5年、10年、20年到25年,有的甚至长达30年,但一般为3年、5年或10年。大型、先进的技术设备通常采用具有长期融资性质的合同租赁形式。
5.交货期限
国际租赁为跨境交易,交货期须在合同中明确规定。出租人或制造商应该按时将租赁设备运往承租人指定的地点;承租人必须及时做好提取租赁物以及相关的报关、安装及调试工作,以确认该设备处于正常状态。通常承租人对租赁物确认完毕,租赁期才正式开始计算。
6.转租赁
转租赁是国际租赁业务中常常采用的形式之一。它是原承租人将所租的设备转租给第三方(也称第二承租人)。转租必须经过原出租人书面同意。在该租赁方式中,原出租人与第一承租人之间、第二出租人与第二承租人之问分别有一个独立的租赁合同。在实际交易中,作为转租赁中心环节的第一承租人,通常还具有融资中介的作用。
7.购买选择权
它是租赁合同期满时承租人对购买所租租赁物的选择权。这里指的是非全额清偿同时又能取得税务优惠的租赁业务,因为全额租赁一般不存在留购租赁物的选择权问题。由于各国的租赁立法不同,承租人在租赁期满时是否能行使留购租赁物的选择权也不相同。例如,按照美国相关规定,承租人只能在期满时付清租赁物残值的公平市价后才能取得其所有权,余值归出租人所有;巴西则规定,出租人必须在租赁期满时将租赁物所有权无偿地转让给承租人。大多数国家对租赁物的留购选择权介乎上述两者之间。
参考文献
免责声明:本内容来源于第三方作者授权、网友推荐或互联网整理,旨在为广大用户提供学习与参考之用。所有文本和图片版权归原创网站或作者本人所有,其观点并不代表本站立场。如有任何版权侵犯或转载不当之情况,请您通过400-62-96871或关注我们的公众号与我们取得联系,我们将尽快进行相关处理与修改。感谢您的理解与支持!







请先 登录后发表评论 ~