工序节拍
工序节拍(Process cycle time)
什么是工序节拍
工序节拍是指流水线上某道工序相邻两件同样制品投入或出产的间隔时间。工序节拍的大小不仅与该工序的单件时间定额有关,还与同时执行该工序的工作地的数目有关。
工序节拍的计算公式
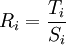
(分/件)
式中:Ri——第i道工序的工序节拍
Ti——第i道工序的单件时间定额
Si——同事完成第i道工序的工作地数。
生产节拍和工序节拍的关系
生产节拍和工序节拍是反映工序同期化(同步化)的水平。在不变连续流水线中,每道工序的工序节拍与流水线生产节拍是同步的。而在可变间断流水线中,每道工序的工序节拍与流水线酌生产节拍并不一定同步。工序愈是同期化,流水线的连续程度就愈高;反之,工序同期化水平低,流水线的连续程变就低。因此尽量要使工序节拍等于流水线的生产节拍,或者两者成整数倍关系。但是在实际工作中往往是不可能的,因此,设计组织流水线时,必须在工艺许可情况下,通过各种措施(例如工序的分解与合并),使之挚近倍数关系,这项工作,称之工序的同期化处理。为了使可变间断流水线有节奏地工作,一般是规定一段时间(例如一个工作班、半个工作班或四分之一个工作班等),使每道工序在该段时间内生产相同数量的制品。这一事先规定的、能平衡每道工序生产率的时间,通常称为可变间断流水线的看管期。
相关条目
- 生产节拍
免责声明:本内容来源于第三方作者授权、网友推荐或互联网整理,旨在为广大用户提供学习与参考之用。所有文本和图片版权归原创网站或作者本人所有,其观点并不代表本站立场。如有任何版权侵犯或转载不当之情况,请您通过400-62-96871或关注我们的公众号与我们取得联系,我们将尽快进行相关处理与修改。感谢您的理解与支持!







请先 登录后发表评论 ~