最优生产批量控制
什么是最优生产批量控制
最优生产批量控制是指成批生产的企业全年应分几批组织生产,每批应生产多少件产品才最为经济合理的控制问题。如果从决策的角度看,最优生产批量控制所研究的有关模型可以在一定程度上用于生产多少的经营决策中,因此,也有人将最优生产批量控制作为短期经营决策问题。
对于这类控制,主要考虑调整准备成本和储存成本两个因素。调整准备成本与储存成本是性质相反的两类成本,由于调整准备成本与批量无关,而与批次成正比,而批次的减少,必将引起批量的增长,从而提高全年的平均储存成本。最优生产批量控制就是要寻求一个适当的生产批量,使其全年的调整准备成本与其全年的平均储存成本之和为最低。
最优生产批量控制的目的
最优生产批量的控制就是要寻求一个适当的生产批量,使其企业相关总成本之和为最低。
最优生产批量控制应考虑的相关成本
在最优生产批量控制过程中,主要考虑相关的调整准备成本和相关的储存成本两个相关成本因素。至于生产过程中发生的直接材料、直接人工等变动成本,属于无关成本,在控制过程中可不予考虑。
- (一)相关的调整准备成本
调整准备成本是指每批产品投产前为做好准备工作而发生的成本,相关的调整准备成本包括:调整机器、准备工具模具,清理现场、布置生产线、领取原材料、准备生产作业记录的成本等内容。
这类成本的每次发生额基本相等,它与生产数量没有直接联系,而与每年生产的次数(以下简称生产批次)成正比:批次越高,调整准备成本就越高;反之,就越低。
若设每批调整准备成本为S,生产批次为n,全年调整准备成本为Ts,则有:
年调整准备成本(Ts)=每批调整准备成本×批次=S·n
- (二)相关的储存成本
储存成本是指单位产品或零部件在储存过程中所发生的年成本。相关的储存成本包括:仓库及其设备的维修费、折旧费、保险费、保管人员工资、利息支出、自然损耗等内容。
这类成本与生产批次的多少没有直接联系,而与生产批量成正比变化;批量越大,年储存成本越高;反之,就越低。
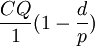
若设全年单位储存成本为C,生产批量为Q,平均每天生产量(即入库量)为p,平均每天发出量(即出库量)为d,全年调整准备成本为Tc,则有:
年储存成本(Tc)=单位储存成本×年平均储存量
=单位储存成本×1/2×每批生产终了时的最高储量
=单位储存成本×1/2×生产批量/每天产量×(每天生产量-每天发出量)
=1/2×单位储存成本×生产批量×(1-每天发出量/每天生产量 )
=
- (三)调整准备成本与储存成本的关系
调整准备成本与储存成本是性质相反的两类成本,由于调整准备成本与批量无关,而与批次成正比,因此要想降低全年的调整准备成本,必须减少批次;而批次的减少,必将引起批量的增长,从而提高全年的平均储存成本。在这种情况下,就存在最优生产批量的控制的问题。最优生产批量的控制就是要寻求一个适当的生产批量,使其全年的调整准备成本与其全年的平均储存成本之和为最低。
免责声明:本内容来源于第三方作者授权、网友推荐或互联网整理,旨在为广大用户提供学习与参考之用。所有文本和图片版权归原创网站或作者本人所有,其观点并不代表本站立场。如有任何版权侵犯或转载不当之情况,请您通过400-62-96871或关注我们的公众号与我们取得联系,我们将尽快进行相关处理与修改。感谢您的理解与支持!







请先 登录后发表评论 ~