国民经济评价参数
什么是国民经济评价参数
国民经济评价参数是用于计算、衡量建设项目的效益及费用以及判断项目经济合理性的一系列数值。为了做好建设项目经济评价工作,促进资源合理配置,保证各类项目评价标准的相对统一性、评价参数取值的合理性和评价结论的可比性,需适时测算、调整、发布建设项目经济评价参数。
国民经济评价参数是根据国家的经济状况、宏观经济调控意图、各行业投资经济效益以及项目评价的实际需要测算调整的。这些参数不代表现行的价格、汇率和利率,也不作为国家分配投资、财政核算以及部门间、企业间商品交换和结算的依据。由于各方面经济情况总是在发展变化,各类参数都有一定的实效性。从理论上讲,参数应随时调整,但参数测算工作需要投入大量的人力和时间,实践中只能作阶段性调整。
国民经济评价参数的主要内容[1]
社会折现率
社会折现率是项目国民经济评价的重要通用参数, 在项目国民经济评价中作为计算经济净现值的折现率,并作为衡量经济内部收益率的基准值。它是项目经济可行性和方案比较的主要判据。
社会折现率表示从国家角度对资金机会成本和资金时间价值的估量。采用适当的社会折现率进行建设项目国民经济评价,有助于合理使用建设资金,引导投资方向,调控投资规模。促进资金在短期与长期项目之间的合理配置。
根据我国在一定时期内的投资收益水平、资金机会成本、资金供求状况、合理的投资规模以及项目国民经济评价的实际情况,社会折现率1994年取为12%。
影子汇率及影子汇率换算系数
影子汇率即外汇的影子价格,是项目国民经济评价的重要通用参数。它体现从国家角度对外汇价值的估量,在项目国民经济评价中用于外汇与人民币之间的换算,同时,它又是经济换汇或节汇成本的判据。影子汇率取值的高低,直接影响项目比选中的进出口抉择,影响对产品进口替代型项目和产品出口型项目的抉择。
影子汇率换算系数(SER)是影子汇率与浮动汇率的比值系数。在项目评价中,用浮动汇率乘以影子汇率换算系数得到影子汇率。根据我国现阶段的外汇供求情况、进出口结构、换汇成本,影子汇率换算系数取为1.08。
影子工资及影子工资换算系数
影子工资体现国家和社会为建设项目使用劳动力而付出的代价。影子工资由劳动力的边际产出和劳动力就业或转移而引起的社会资源消耗两部分构成。劳动力边际产出指一个建设项目占用的劳动力,在其他使用机会下可能创造的最大效益。在国民经济评价中影子工资作为费用计入经营费用。
影子工资换算系数是项目国民经济评价参数,是影子工资与财务评价中的职工个人实得货币工资加提取的福利基金之比。根据我国劳动力的状况、结构以及就业水平,一般建设项目的影子工资换算系数为1。在建设期内使用大量民工的项目,如水利、公路项目, 其民工的影子工资换算系数为0.5。
项目评价中可根据项目所在地区劳动力的充裕程度以及所用劳动力的技术熟练程度,适当提高或降低影子工资换算系数。对于就业压力大的地区占用大量非熟练劳动利项目,影子工资换算系数可小于1;对于占用大量短缺的专业技术人员的项目, 影子工资换算系数可大于1。
土地影子费用
土地是项目的特殊投入物。在国民经济评价中,土地影子费用包括拟建项目占用土地而使国民经济为此放弃的效益──即土地机会成本,以及国民经济为项目占用土地而新增加的资源消耗,如拆迁费用、剩余农业劳动力安置费等。用公式表示为:
土地影子费用=土地机会成本+新增资源消耗费用
土地机会成本按照拟建项目占用土地而使国民经济为此放弃的该土地“最好可行替代用途”的净效益测算,原则上应根据具体情况,由项目评价人员自行测算。在难于测算的情况下,可参考《方法与参数》中的规定执行。
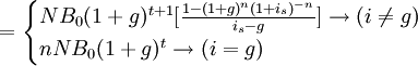
计算土地机会成本时,项目评价人员应根据项目占用土地种类,分析项目计算期内技术、环境、政策、适宜性等多方面的约束条件,选择该土地最可行的替代用途2~3种(包括现行用途)进行比较,以其中效益最大者为计算基础。土地机会成本可按下式计算:
式中:OC──土地机会成本;
n──项目占用土地的期限,一般为项目计算期;
t──年序数;
NB0──基年土地的“最好可行替代用途”的单位面积年净效益;
τ──基年(即土地在可行替代用途中的净效益测算年)距项目开工年年数;
g──土地最好可行替代用途的年平均净效益增长率;
is──社会折现率。
按国民经济评价费用与效益划分原则,项目实际征地费用可以划分为三部分:
①属于机会成本性质的费用,如土地补偿费、青苗补偿费等。
②新增资源消耗费用,如拆迁费用、剩余劳动力安置费、养老保险费等。
③转移支付,如粮食开发基金、耕地占用税等。在国民经济评价中对第一部分费用应按机会成本计算方法另行计算,并将第二部分费用换算成按影子价格计算的费用,而第三部分则不计为费用。项目评价人员应根据项目征地情况,从实际征地费用中具体区分出上述三部分进行计算。
贸易费用和贸易费用率
项目国民经济评价中的贸易费用是指物资系统、外贸公司和各级商业批发站等部门花费在货物流通过程中以影子价格计算的费用(长途运输费用除外)。贸易费用率反映这部分费用相对于货物影子价格的一个综合比率,用以计算贸易费用。根据测算和综合分析,贸易费用率取值为6%。对于少数价格高、体积与重量较小的货物,可适当降低贸易费用率。
由贸易费用率计算货物的贸易费用时,使用下列公式:
①进口货物的贸易费用=到岸价×影子汇率×贸易费用率
②
|
出口货物的贸易费用= | (离岸价×影子汇率-国内长途运费) |
X 贸易费用率 |
| (1+贸易费用率) |
③非外贸货物的贸易费用=出厂影子价格×贸易费用率
参考文献
免责声明:本内容来源于第三方作者授权、网友推荐或互联网整理,旨在为广大用户提供学习与参考之用。所有文本和图片版权归原创网站或作者本人所有,其观点并不代表本站立场。如有任何版权侵犯或转载不当之情况,请您通过400-62-96871或关注我们的公众号与我们取得联系,我们将尽快进行相关处理与修改。感谢您的理解与支持!







请先 登录后发表评论 ~