什么是简单移动平均?
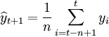
简单移动平均是一种时间序列平滑模型的方法,它通过取最近的n项数值的平均值来预测下期的数值。对于平稳时间序列,可以使用以下公式进行计算:

其中,yi为第i期的实际值,
为第t+1期的预测值。
免责声明:本内容来源于第三方作者授权、网友推荐或互联网整理,旨在为广大用户提供学习与参考之用。所有文本和图片版权归原创网站或作者本人所有,其观点并不代表本站立场。如有任何版权侵犯或转载不当之情况,请您通过400-62-96871或关注我们的公众号与我们取得联系,我们将尽快进行相关处理与修改。感谢您的理解与支持!







请先 登录后发表评论 ~