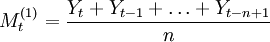
二次移动平均值的公式是什么?
二次移动平均值的公式为:


Y<sub>t</sub>:时间序列中期观察值
式中:
第t期的一次移动平均值;
第t期的二次移动平均值;
n计算移动平均值的跨越期。
二次移动平均预测法的预测模型为:
(1)
式中,


T:由t期向后推移的期望。
式中的
是指计算得出的一次移动平均数序列中的最后一个一次移动平均数。
式中的
是指计算得出的二次移动平均数序列中的最后一个二次移动平均数。
免责声明:本内容来源于第三方作者授权、网友推荐或互联网整理,旨在为广大用户提供学习与参考之用。所有文本和图片版权归原创网站或作者本人所有,其观点并不代表本站立场。如有任何版权侵犯或转载不当之情况,请您通过400-62-96871或关注我们的公众号与我们取得联系,我们将尽快进行相关处理与修改。感谢您的理解与支持!







请先 登录后发表评论 ~