出口市场占有率的计算方法是什么?
出口市场占有率反映一国出口的整体竞争力,比例提高说明竞争力增强。
出口市场占有率= 一国出口总额/世界出口总额
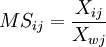
其计算公式为:

式中:MSij表示i国家j产品的市场占有率指数;Xij表示i国家j产品的出口总额;Xwj表示世界j产品的出口总额。MSij值越高,表示该产品所处的产业国际竞争力就越强,反之则越弱。
免责声明:本内容来源于第三方作者授权、网友推荐或互联网整理,旨在为广大用户提供学习与参考之用。所有文本和图片版权归原创网站或作者本人所有,其观点并不代表本站立场。如有任何版权侵犯或转载不当之情况,请您通过400-62-96871或关注我们的公众号与我们取得联系,我们将尽快进行相关处理与修改。感谢您的理解与支持!







请先 登录后发表评论 ~