关税课税标准
什么是关税课税标准
关税课税标准是对关税课税对象进行量化的标准。包括数量和价值两个标准。
关税课税标准的类型[1]
(一)从价税(Ad Valorem Duty)
从价税是以课税对象的价格或价值作为课税标准的一种税。
从价税税额=完税价格×关税税率
(二)从量税(Specific Duty)
从量税是以课税对象的数量作为课税标准的一种税。
从量税税额=每单位数量的关税税额×进口数量
例如:税号0207.1200项下冻的整只鸡每千克征收关税人民币1.3元。
(三)复合税(Compound Duty)
复合税是兼以课税对象的数量和价值为课税标准的一种税。
复合税税额=从量税税额+从价税税额
例如:税号8521.1011项下每台价格高于2000美元的广播级录像机,每台征收从量税额人民币4482元,加上3%的从价税。
(四)选择税(Alternative Duty)
选择税是兼以课税对象的数量和价值为课税标准,在征收时选择其中之一征收的一种税。
例如:欧盟税则中手表征收5.1%的从价税,但如果每只手表的从价税税额少于0.3ECU或多于0.8ECU,则按每只0.3ECU或0.8ECU从量征收关税。
(五)滑准税(Sliding Scale Duty)
滑准税是根据货物的价格不同划分为不同的档次,适用不同的关税税率的一种征收方法。
我国对棉花实行关税配额制度,配额额度内进口的,适用配额内税率,配额额度外进口的,适用滑动税的征收方法。
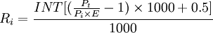
例如:进口棉花完税价格高于或等于10746元/吨时,暂定关税税率为5%,当进口棉花完税价格低于10746元/吨时,暂定关税税率为5%至40%,具体税率按下式计算:
Ri为暂定关税税率,当Ri按上式计算值高于40%时,取值40%;
E为美元对人民币汇率;
Pi为关税完税价格(美元)
Pt为常数,为11283;
INT为取整函数。
假设美元对人民币汇率为1:8.04,如果进口棉花价格为USD1300/T,则
如果进口棉花价格为USD1300/T,则
参考文献
免责声明:本内容来源于第三方作者授权、网友推荐或互联网整理,旨在为广大用户提供学习与参考之用。所有文本和图片版权归原创网站或作者本人所有,其观点并不代表本站立场。如有任何版权侵犯或转载不当之情况,请您通过400-62-96871或关注我们的公众号与我们取得联系,我们将尽快进行相关处理与修改。感谢您的理解与支持!







请先 登录后发表评论 ~