调整后净现值
调整后净现值(Adjusted Present Value)
什么是调整后净现值
跨国投资项目经济评价指标。投资项目经济评价的基本指标是净现值和内部收益率。但在国际投资决策会计中,监于跨国投资项目的特殊要求,以跨国公司总公司为主体进行经济评价,应将净现值指标转化为调整后的净现值指标。调整后的净现值与净现值的涵义基本相同,其区另主要体现在:(1)按不同类别的现金流量分别进行折现,大同小异不是对所有的现金流量统一进行折现。与此相联系,对不同类别的现金流量区别不同情况采用不同的折现率,而不是按一个统一的折现率进行折现;(2)投资项目的效益性可以分段测算。如果前段的测算在经济上已可行,后段追加的有利部分可以不计算;(3)从总体上说,具有较大的包容性,能够更好地适应跨国投资项目经济评价的具体需要。
调整净现值法(APV)的基本原理
对经营现金流量,不考虑其财务风险,按项目经营风险的权益资本成本进行贴现。
在当地进行负债筹资的节税额按母公司正常借款利率贴现因为如果无法取得当地借款,这部分资金要由母公司供给,这样处理,可以反映母公司的实际成本。
项目实际利息与按母公司正常借款利率计算的利息之间的差额,按母公司正常借款利率贴现。
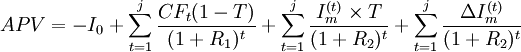
APV的计算公式:
APV的主要特点
·按不同类别的现金流量分别采用不同的贴现率进行贴现,而不是对所有的现金流量按统一贴现率进行折现;
·投资项目的经济效益可分段测算,如果在前段的测算中已表现出经济上可行,则后段追加的有利部分可不必进行测算;
·总体上具有较大的可容性与可塑性,能更好地适应国际投资项目经济评价的需要。
免责声明:本内容来源于第三方作者授权、网友推荐或互联网整理,旨在为广大用户提供学习与参考之用。所有文本和图片版权归原创网站或作者本人所有,其观点并不代表本站立场。如有任何版权侵犯或转载不当之情况,请您通过400-62-96871或关注我们的公众号与我们取得联系,我们将尽快进行相关处理与修改。感谢您的理解与支持!







请先 登录后发表评论 ~