教育收益
什么是教育收益[1]
教育收益即是指一个人或社会通过教育增加所获得的收益;教育收益分为个人收益与社会收益,个人收益与社会收益又都包括经济收益与非经济收益。
教育收益的内涵[2]
在理论上存在两种概念:经济收益和会计收益。经济收益是指企业在某一期间净资产现时价值变动的结果.这种收益概念与资产计价是密不可分的,而且.资产是根据其能够为企业带来的未来预期收益的现值来计价的;会计收益是企业一定时期内由于交易而已经实现的收入和与之相对应的历史成本之差。教育收益作为一种经济学的概念,是指教育通过培养和提高劳动者的知识、技能给个人社会带来的经济效益,也称教育的经济效益,主要反映的是教育投入和产出的问题。为了方便对“产出”的理解,可以将教育收益首先划分为投资性收益和消费性收益。投资性收益是一种市场化的货币性收益,某一级教育的投资性收益的衡量可以用接受这一级教育的劳动者的工资收入与接受下一级教育的劳动者的工资收入的差额来计算。消费性收益是一种非市场化的非货币收益,它主要指教育给受教育者及家庭成员在精神满足程度、家庭生活、经济理性、情感等方面带来的收益。教育还有一种外部收益,它主要是给出了受教育者本身以及其家庭之外,带给社会以及其他成员的非市场化、非货币性收益。基于此划分,教育外部收益、内部收益(个人收益)和社会收益三者之间的界限也就更加明晰。
教育收益的特点[1]
(一)间接性
(二)迟效性
(三)长效性
(四)多效性
(五)流动性
(六)近似性
教育收益的类别[1]
(一)教育的个人收益
1.教育的个人直接收益
2.教育的个人间接收益
由于个人较强的能力而实现支出的节省是教育的个人间接收益。
(1)较大的职业适应性和更多就业机会
①一般性就业问题:“人找事”
②结构性就业问题:“人找事”与“事找人”
③选择性就业问题:“人找事”与“事找人”,“有相应能力的人不愿做某事”
(2)消费支出的节省
①商品选购方面支出的节省
②购买他人劳务方面支出的节省
③医疗保健方面支出的节省
④世代影响
(二)教育的社会收益
1.教育的社会直接收益
2.教育的社会间接收益
教育收益的数量分析[1]
(一)简单的相关方法
1.工人受教育程度与他们掌握新技术的速度呈正相关
2.工人的受教育程度和他们的技术水平呈正相关
3.工人的受教育程度和他们技术革新所创造的价值呈正相关
4.工人的受教育程度和他们的产品质量合格率呈正相关
5.工人的受教育程度和生产事故发生次数呈负相关
6.工人的受教育程度和工具、设备损坏率呈负相关
7.工人的受教育程度与他们完成的生产定额呈正相关
(二)收入函数方法
式中,Y表示年收入,S表示受教育年限,EX表示劳动力的市场经历或工龄,a表示截距,b、c、d分别表示相应变量的回归系数,ε是误差项。
enY = a + bS + cEX + dEX2 + ε
(三)成本--收益分析方法
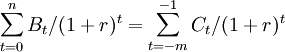
1.教育收益的净现值
教育收益的净现值是教育的全部收益现值与其全部成本现值之差。
式中:V_0为教育收益净现值;n为某级毕业生毕业后可工作的年限;Bt为某级教育在第t年的收益;i为贴现率;m为某级教育学制年限;Ct为第t年教育成本。
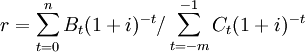
2.教育收益率
(1)教育收益率优点
①是教育投资决策的依据
②证明教育对于经济增长、个人收入形成和收入分配等有着重要影响
(2)教育收益率的缺点
①它忽视了教育的消费性
②它忽视了教育的外部性
③它忽视了劳动力市场的非充分竞争性
④它忽视了教育质量的差异性
教育收益率是教育的全部收益现值与其全部成本现值的比例。
式中:r为教育收益率,其余符号的解释与教育投资净现值计算公式中的符号相同。
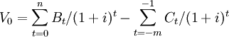
3.教育内部收益率
教育内部收益率是教育投资的全部收益现值与其全部成本现值相等时的贴现率。
以r表示教育内部收益率,解下列方程可得r。除r以外,其余符号的解释与教育投资净现值公式中的符号相同。
参考文献
免责声明:本内容来源于第三方作者授权、网友推荐或互联网整理,旨在为广大用户提供学习与参考之用。所有文本和图片版权归原创网站或作者本人所有,其观点并不代表本站立场。如有任何版权侵犯或转载不当之情况,请您通过400-62-96871或关注我们的公众号与我们取得联系,我们将尽快进行相关处理与修改。感谢您的理解与支持!







请先 登录后发表评论 ~